I tried for a few days to prove the identity $\sin(x)\cos(x)=\frac{\sin(2x)}{2}$ and finally got the following proof. I wanted to know if someone knew a simpler or more elegant way to proof it.

$$\begin{align}\dfrac{\cos(\phi)}{\frac{1+\cos(2\phi)}{2}}&=\dfrac{1}{\sqrt{\frac{(1+\cos(2\phi))²+\sin²(2\phi)}{4}}} ~~~~~~~~~~~~~~~*\frac{1+\cos(2\phi)}{2}\\ \cos(\phi) &=\dfrac{\frac{1+\cos(2\phi)}{2}}{\sqrt{\frac{1+2 \cos(2\phi)+ \cos²(2\phi)+sin²(2\phi)}{4}}}\\ \cos(\phi)&=\dfrac{\frac{1+\cos(2\phi)}{2}}{\sqrt{\frac{1+\cos(2\phi)}{2}}}\\ \cos(\phi)&=\sqrt{\frac{1+\cos(2\phi)}{2}}\\ \cos²(\phi)&=\frac{1+\cos(2\phi)}{2}\end{align}$$

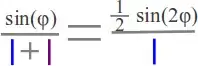
$\begin{align}\frac{\sin(\phi)}{\cos(\phi)}&=\dfrac{\frac{\sin(2\phi)}{2}}{\frac{1+\cos(2\phi)}{2}}\\
\frac{\sin(\phi)}{\cos(\phi)}&=\dfrac{\frac{\sin(2\phi)}{2}}{\cos²(\phi)}\\
\sin(\phi)\cos(\phi)&=\frac{\sin(2\phi)}{2}\end{align}$
I also tried this:
showing that
but didn't manage. I would be glad if someone had an idea on this.