I have a matrix like this:
An the structure repeats if i consider n values of k and n values of m, any suggestion about the "family" name of this type of matrix and any suggestion about how to compute its determinant?
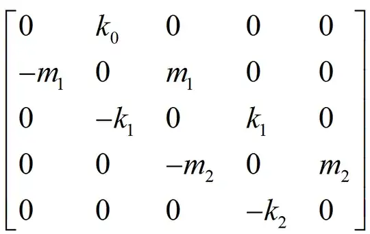
I have a matrix like this:
An the structure repeats if i consider n values of k and n values of m, any suggestion about the "family" name of this type of matrix and any suggestion about how to compute its determinant?
Expand along the first row: if we denote the determinant by $D$, we obtain $$D=-k_0\begin{vmatrix}-m_1&m_1&0&0\\ 0&0&k_1&0 \\0&-m_2&0&m_2\\0&0&-k_2&0\end{vmatrix} =k_0k_1k_2m_1m_2\begin{vmatrix}-1&1&0&0\\ 0&0&1&0 \\0&-1&0&1\\0&0&1&0\end{vmatrix}$$ and expanding this last determinant along the last row, you have a row of $0$s: $$\begin{vmatrix}-1&1&0&0\\ 0&0&1&0 \\0&-1&0&1\\0&0&1&0\end{vmatrix}=-1\begin{vmatrix}-1&1&0\\ 0&0&0 \\0&-1&1\end{vmatrix}.$$