The Dutch philosopher Emanuel Rutten wrote an article, titled Dissolving the Scandal of Propositional Logic?, about the philosophical problems with the material conditional. From his article, we quote the following as an example that is true in propositional logic but sounds illogical in common language:
[2] Brigitte can mix green with yellow paint
OR Brigitte can mix green with blue paint.
In the formalism of propositional logic it says: $(P \Rightarrow R) \vee (Q \Rightarrow R)$ with $R = P \wedge Q$. A truth table shows that this expression is a tautology. Now, from David Gries, "Compiler Construction for Digital Computers", John Wiley & Sons, 1971, we alternatively have:
c OR d is defined by IF c THEN TRUE ELSE d c AND d is defined by IF c THEN d ELSE FALSE NOT c is defined by IF c THEN FALSE ELSE TRUE c ==> d is defined by IF c THEN d ELSE TRUE c is defined by IF c THEN TRUE ELSE FALSEThus, in a sequential sense - according to Gries - the tautology $(P \Rightarrow R) \vee (Q \Rightarrow R)$ reads as follows.
if (if P then R else TRUE) then TRUE else (if Q then R else TRUE)In most programming languages boolean expressions indeed seem to be subject to "lazy evaluation" of the above kind. Therefore we can replace the abovementioned sequential expression by its combinatorical equivalent again: $((\neg P) \vee R) \vee ((\neg Q) \vee R_{\_}(R))$. With a little adjustment for the second variable $R$: the function $R_{\_}(R)$ is identical to $R$ but it contains an alarm message in addition, namely: ' observed! '. A little program in Pascal shall make clearer what's going on here:
program Rutten;Output (mind the absence of the alarm):
function r_(r : boolean) : boolean; begin Write(' observed! '); r_ := r; end;
procedure test; var p,q,r : boolean; k : integer; begin Writeln('P':6,'Q':6,'R':6,'(P=>R)v(Q=>R)':16); Writeln('-----------------------------------'); for k := 0 to 3 do begin p := ((k div 2) = 0); q := ((k mod 2) = 0); r := (p and q); Writeln(p:6,q:6,r:6,((not p) or r) or ((not q) or r_(r)):12); { if (if p then r else true) then true else (if q then r else true) } end; end;
begin test; end.
P Q R (P=>R)v(Q=>R)
-----------------------------------
TRUE TRUE TRUE TRUE
TRUE FALSE FALSE TRUE
FALSE TRUE FALSE TRUE
FALSE FALSE FALSE TRUE
The point is: the message ' observed! ' will never be observed!The function $R_{\_}(R)$ is not executed in any way; it is like the program statement is simply not present. So what's left is this: $((\neg P) \vee R) \vee (\neg Q)$. In common language that is:
[2] Brigitte can mix green with yellow paint
OR Brigitte has no blue paint.
Which sounds anyway more reasonable than the original statement.
It is also seen that the expression $(P \Rightarrow R) \vee (Q \Rightarrow R)$ is logically equivalent with this one: $((\neg P) \vee R) \vee ((\neg Q) \vee R) \equiv ((\neg P) \vee (\neg Q) \vee (R \vee R))$. The last instance of $R$ is obviously redundant.
Still anoher way of looking at our problem shall be presented.
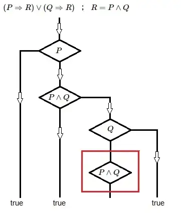
For ease of notation, let's replace TRUE by $1$ and FALSE by $0$ in $(P \Rightarrow R) \vee (Q \Rightarrow R)$ with $R = (P \wedge Q)$.
Then, with the sequential interpretation and all possibilities covered:
if (if P then R else 1) then 1 else (if Q then R else 1) : in general if (if 0 else 1) then 1 [ ] : P = 0 if (if 1 then 0 ) else (if 0 [ ] else 1) : P = 1, Q = 0 if (if 1 then 1 ) then 1 [ ] : P = 1, Q = 1
So for the second instance of $R$ we have, with all possible (0,1) specifications, empty spots [ ];
it is like the second instance of $R$ it is not there at all!
The accompanying Flowchart is in concordance with this observation:

As a second example, consider the tautology $(P \Rightarrow Q) \vee (Q \Rightarrow P)$.
The sequential version is, with 0 = FALSE and 1 = TRUE and all possibilities exhausted:
if (if P then Q else 1) then 1 else (if Q then P else 1) : in general if (if 0 else 1) then 1 [ ] : P = 0 if (if 1 then 0 ) else (if 0 [ ] else 1) : P = 1, Q = 0 if (if 1 then 1 ) then 1 [ ] : P = 1, Q = 1
Empty spots [ ] again. So the second instance of P is obviously redundant.
As is clear as well from the Flowchart:

Not all propositional tautologies contain redundancies.
Time to present a counter example: $(P \Rightarrow Q) \Rightarrow (\neg Q \Rightarrow \neg P)$.
if (if P then Q else 1) then (if -Q then -P else 1) else 1 : in general if (if 0 else 1) then (if 1 then 1 ) : P = 0, Q = 0 if (if 0 else 1) then (if 0 else 1) : P = 0, Q = 1 if (if 1 then 0 ) else 1 : P = 1, Q = 0 if (if 1 then 1 ) then (if 0 else 1) : P = 1, Q = 1All instances of P and Q are decidable, none of these is redundant.
The tautology IF(IF P THEN Q) THEN (IF NOT Q THEN NOT P) is acceptable in common language as well. In the Flowchart all decisions are useful:
Question. When considering tautologies in Propositional Logic that sound "not good" in the logic of common language, does our notion of Redundancy, developed so far, provide a clue for dissolving that issue?

