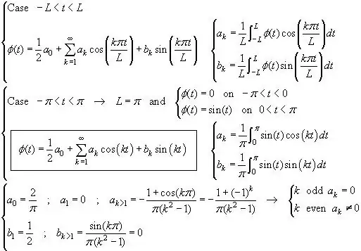
$$f(x) = \begin{cases}0 & \text{if }-\pi<x<0, \\ \sin(x) & \text{if }0<x<\pi. \end{cases}$$
My attempt:
I went the route of expanding this function with a complex Fourier series.
$$f(x) = \sum_{n=-\infty}^{+\infty} C_{n}e^{inx}$$
$$C_{n} = \frac {1}{2\pi} \int_{0}^{\pi} \frac {e^{ix}-e^{-ix}}{2i} e^{-inx} \,\mathrm dx = \frac {1}{\pi}\left(\frac {1}{1-n^2}\right)$$
because only even $n$ terms survive, odd $n$ are 0
$$ C_0 = \frac {1}{2\pi} \int_{0}^{\pi} \sin(x)\, \mathrm dx = \frac {1}{\pi} $$
so
$$ f(x) = \frac{1}{\pi} + \frac {1}{\pi} \left(\frac {e^{i2x}}{1-2^2} + \frac {e^{i4x}}{1-4^2}+\frac {e^{i6x}}{1-6^2}+\cdots\right) + \frac {1}{\pi} \left(\frac {e^{-i2x}}{1-2^2} + \frac {e^{-i4x}}{1-4^2}+\frac {e^{-i6x}}{1-6^2}+\cdots\right) $$
In sine and cosine terms,
$$ f(x) = \frac{1}{\pi} + \frac {2}{\pi} \left(\frac {\cos(2x)}{1-2^2} + \frac {\cos(4x)}{1-4^2}+\frac {\cos(6x)}{1-6^2}+\cdots\right) $$
But the answer in my book is given as
$$ f(x) = \frac{1}{\pi} + \frac{1}{2} \sin(x)+ \frac {2}{\pi} \left(\frac {\cos(2x)}{2^2-1} + \frac {\cos(4x)}{4^2-1}+\frac {\cos(6x)}{6^2-1}+\dotsb\right)$$
I don't understand how there is a sine term and the denominator of the cosines has $-1$.
