I'm going to make a guess that the motivation for your question is representations of $B_n$ that commute with representations of "quantum $\mathfrak{sl}(2)$." In this case, $\mathbb{C}^2$ would be the two-dimensional irreducible representation of $U_q(\mathfrak{sl}(2))$, known as $V_1$ since it is the highest-weight $1$ representation.
One may conceptualize this as looking for maps from $B_n$ to the space of endomorphisms of $(\mathbb{C}^2)^{\otimes n}$ that commute with the $\mathcal{U}_q(\mathfrak{sl}(2))$-action, where this quantum group is acting on each $\mathbb{C}^2$ factor simultaneously. That is, maps $B_n\to \operatorname{End}_{\mathcal{U}_q(\mathfrak{sl}(2))}(V_1^{\otimes n})$.
The $q=1$ case is the representation Mike Miller came up with: $B_3$ acts on $V_1^{\otimes 3}$ by permuting the tensor factors via the $B_3\to S_3$ homomorphism, and this intertwines with $(v_1\otimes v_2\otimes v_3) x=xv_1\otimes x v_2\otimes x v_3$ for $x\in\mathfrak{sl}(2)$, where $xv_i$ is simply the matrix-vector product.
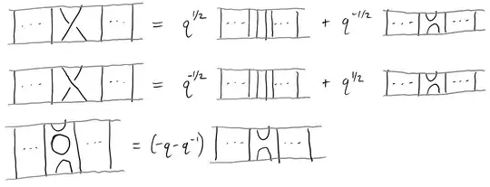
More generally, we need to know the "$R$-matrix" for how a two-strand twist of $B_3$ corresponds to a homomorphism $V_1\otimes V_1\to V_1\otimes V_1$. The earlier conceptualization leads us to the Temperley-Lieb algebra, which for our purposes we will take $q\in\mathbb{C}^\times$ and then take $\mathbb{C}[B_n]$ and quotient it by (i.e., impose) the following relations:

One can check that these satisfy the relations for $B_n$, and so this is a well-defined quotient. So: given a braid in $B_n$, one may resolve all crossings and expand the word into a linear combination of crossing-free Temperley-Lieb diagrams. For $B_3$, every braid reduces to a linear combination of the following five diagrams:

At this point, we can make a representation by deciding what "cups" and "caps" should be. According to some notes I have, the following choice works, where $\{e_1,e_2\}$ forms a basis for $\mathbb{C}^2$ and $\{e^1,e^2\}$ forms a corresponding dual basis for $(\mathbb{C}^2)^*$:

If I calculated it correctly, this is the two-strand twist as a matrix (derived from an $R$-matrix), with basis $\{e_{11},e_{12},e_{21},e_{22}\}$:

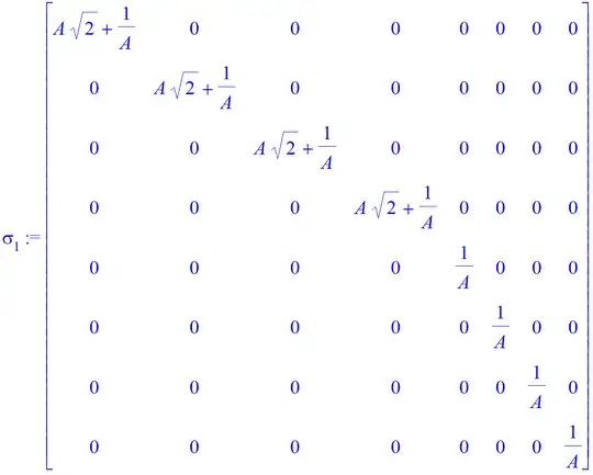
To get the matrices for $B_3$, one can perform the Kronecker product with the $2\times 2$ identity matrix, which has the effect of giving the matrix for a braid with an additional strand on one side. These were checked in Mathematica to satisfy $\sigma_1\sigma_2\sigma_1=\sigma_2\sigma_1\sigma_2$:
\begin{align}
\sigma_1 &= \left(
\begin{array}{cccccccc}
\sqrt{q} & 0 & 0 & 0 & 0 & 0 & 0 & 0 \\
0 & \sqrt{q} & 0 & 0 & 0 & 0 & 0 & 0 \\
0 & 0 & \sqrt{q}-\frac{1}{q^{3/2}} & 0 & \frac{1}{\sqrt{q}} & 0 & 0 & 0 \\
0 & 0 & 0 & \sqrt{q}-\frac{1}{q^{3/2}} & 0 & \frac{1}{\sqrt{q}} & 0 & 0 \\
0 & 0 & \frac{1}{\sqrt{q}} & 0 & 0 & 0 & 0 & 0 \\
0 & 0 & 0 & \frac{1}{\sqrt{q}} & 0 & 0 & 0 & 0 \\
0 & 0 & 0 & 0 & 0 & 0 & \sqrt{q} & 0 \\
0 & 0 & 0 & 0 & 0 & 0 & 0 & \sqrt{q} \\
\end{array}
\right) \\
\sigma_2 &= \left(
\begin{array}{cccccccc}
\sqrt{q} & 0 & 0 & 0 & 0 & 0 & 0 & 0 \\
0 & \sqrt{q}-\frac{1}{q^{3/2}} & \frac{1}{\sqrt{q}} & 0 & 0 & 0 & 0 & 0 \\
0 & \frac{1}{\sqrt{q}} & 0 & 0 & 0 & 0 & 0 & 0 \\
0 & 0 & 0 & \sqrt{q} & 0 & 0 & 0 & 0 \\
0 & 0 & 0 & 0 & \sqrt{q} & 0 & 0 & 0 \\
0 & 0 & 0 & 0 & 0 & \sqrt{q}-\frac{1}{q^{3/2}} & \frac{1}{\sqrt{q}} & 0 \\
0 & 0 & 0 & 0 & 0 & \frac{1}{\sqrt{q}} & 0 & 0 \\
0 & 0 & 0 & 0 & 0 & 0 & 0 & \sqrt{q} \\
\end{array}
\right)
\end{align}
This representation splits into irreducibles for generic values of $q$ (that is, except for a few roots of unity). In particular, this eight-dimensional representation splits as $2V_1\oplus V_3$. The projection onto the $V_3$ summand is given by the third Jones-Wenzl projector, which graphically can be written as

and with some elbow grease this may be turned into an $8\times 8$ projection matrix. (For $q=1$, this is the projection onto $\operatorname{Sym}^3 V_1$.)