In our Combinatorics Script it is written, that $$s_{n+1,k+1} = \sum_{i = 0}^{n} \binom{i}{k}s_{n,i}$$ for $n,k \in \mathbb{N}$.
The problem is that I can't find a combinatorial proof for that, not in the Script and not online.
I thought about looking at a set $S_{n,k}$ of the permutations of $[n]$, which are the products of exactly $k$ disjoint cycles, but that's just a thought...
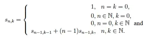
The Stirling numbers of the first kind are defined recursively by:
And how can one give a bijection between a set of the cardinality $\sum_{i=0}^{n} \binom{i}{k} s_{n,i}$ and $S_{n+1, k+1}$?
Apparently defining such a transformation can be extracted from the following example. Does someone know how it's done?
$(1,3,8,7)(2,9,5)(4,12,10,6)(11,13) \to (14,4,12,10,6,1,3,8,7)(2,9,5)(11,13)$
