How can one prove that the set of invertible matrices $GL_n := \mathbb{R} : = \{A \in \mathbb{R}^{n \times n}: \det A \neq 0\}$ is open in $\mathbb{R}^{n \times n}$?
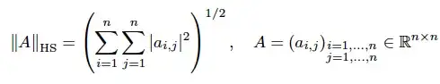
${\mathbb{R}^{n \times n}}$ has the following norm:
The domain of $A \to \det (A)$ is $\mathbb{R}^{n \times n}$ and $A \to \det A \in \mathbb{R} $ is the transformation rule, so $A$ can be a random matrix in in $\mathbb{R}^{n \times n}.$
$GL_n(\mathbb R)$ is the inverse image $\det^{-1} (\mathbb{R}$ \ {$0$}).
Since $\det$ is continuous, the inverse image is also open in $\mathbb{R}^{n \times n}$. Is that correct?
And how can I show that $\mathbb{R}^{n \times n} \ni A \to \det A \in \mathbb{R}$ is continuous? I don't know how I should use the Laplace expansion here...
