For a given $n$, this answer by r9m provides a tool to improve the upper bound for the left hand side by looking for the set of $\{x_k\}_{k=1}^n$ such that $c(n)=\max\limits_{k \in \{1,2,\cdots,n\}}\{c_k\}$ is minimized. It turned out to more convenient to consider a sequence $\{y_k\}_{k=2}^n$, where $y_{k}=x_k/x_{k-1}$ and $d(n)=2-c(n)$. Below I present the best values of $d(n)$ for small $n$ and the (componentwise almost optimal) sequences $\{y_k\}$ providing them which I found (the decimal fractions below are truncated, not rounded):
n=4 0.738307
2.195696 1.989904 2.218204
n=5 0.696237
2.071728 1.818972 1.821304 2.083424
n=6 0.660482
1.9875 1.7125 1.6625 1.7250 2.0000
n=7 0.632358
1.925 1.660 1.575 1.575 1.655 1.930
n=8 0.611866
1.8912 1.6148 1.5254 1.5012 1.5230 1.6106 1.8896
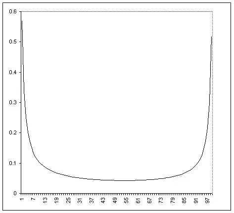
It suggests that there exists of a general pattern for $\{y_k\}$. Below are graphs for $\{y_k\color{red}{-1}\}$ for $n=20$ (which provides $d(20)\ge 0.4750702$) and $n=100$ (which provides $d(100)\ge 0.3156195$). I remark that the last value is more than twice bigger than $\frac{7\ln 2}{8\ln 100}=\frac{7}{8\log_2 100}=0.1317006\dots$, so I guess that analytic description of the pattern can lead to a proof of a strong inequality. As an aid I provide below the (rounded) sequence $\{y_k-1\}$ for $n=100$.

0.568813293
0.339731947
0.250658592
0.202100545
0.171168765
0.149589419
0.133606711
0.121254158
0.111401006
0.103346372
0.096632292
0.090945372
0.086065313
0.081830815
0.078121791
0.074847124
0.071934277
0.069329774
0.06698533
0.064867893
0.062946908
0.06119601
0.059597855
0.058134021
0.056788616
0.055549986
0.054408614
0.053355081
0.052381164
0.051477808
0.050642813
0.049869636
0.049150712
0.048487213
0.047870011
0.047300624
0.046773765
0.046287301
0.045839285
0.045426464
0.045050178
0.044705127
0.044392893
0.044110562
0.043858542
0.043635059
0.043439437
0.043271504
0.043130179
0.043015646
0.042927185
0.042864435
0.042829168
0.042819848
0.04283657
0.042881058
0.042952044
0.043050421
0.043179212
0.043337126
0.043524287
0.043744926
0.043999354
0.044286068
0.044612369
0.044977226
0.045381648
0.045832647
0.046329917
0.046878054
0.047482742
0.048146738
0.048877411
0.049679262
0.05056174
0.051533042
0.052601587
0.053782408
0.055087981
0.05653489
0.058146492
0.059945903
0.06196218
0.06423862
0.066818627
0.069766721
0.073161067
0.077108166
0.081748879
0.087280503
0.093985299
0.10227286
0.11278736
0.126570241
0.145453179
0.172979978
0.217060498
0.299864157
0.518985805