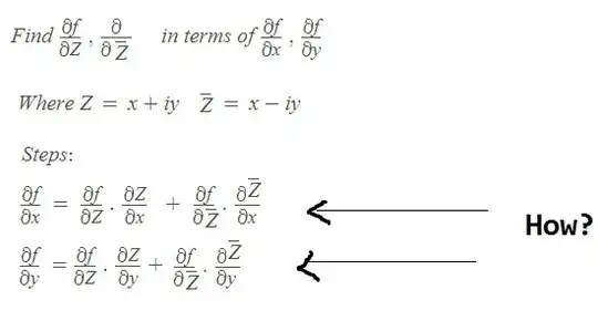
This is the question and the problem is we didn't take multivariable calculus to understand these steps, where did it come from? When I search multivariable chain rule I get a different result than this, can anyone tell me how the answer makes sense provided that I know about partial derivatives but we haven't taken multivariable functions and how they're differentiated in this way, this is a complex variable course.
Asked
Active
Viewed 353 times
0
-
See https://math.stackexchange.com/q/2945446/289217 . You'll have to deal with multivariable calculus to understand complex calculus. – Alan Muniz Oct 08 '18 at 18:46
-
thanks i'll try to understand – khaled014z Oct 08 '18 at 18:54
