0

This question is linked to my previous question since I am not able to spot my error.

Let $\tilde{x}_n = (k+1)(1^k + ... + n^k) - n^{k+1}$, $\tilde{x}_{n-1} = (k+1)(1^k + ... + (n-1)^k) - (n-1)^{k+1}$. Then, $\tilde{x}_n - \tilde{x}_{n-1} = (k+1)n^k - n^{k+1} + (n-1)^{k+1}$. And the denominator will be $(k+1)(n^k - (n-1)^k)$. Therefore, need to find limit of

$$\lim_{n \to \infty} \frac{(k+1)n^k - n^{k+1} - (n+1)^{k+1}}{(k+1)(n^k - (n-1)^k)}$$

Here is my solution:

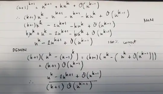
enter image description here

user10354138
  • 33,887
naz
  • 3,509
  • What is your question, precisely? – Michael Burr Oct 04 '18 at 13:08
  • Where is the mistake here. Because when I take out the $n^{k-1}$ out of the numerator and denominator, my numerator grows to infinity. And so I cannot show that the limit is $1/2$ – naz Oct 04 '18 at 13:13
  • You evaluate the numerator correctly at one place and then write it again wrongly. The right numerator is your first one with $+(n-1)^{k+1}$ at the end. You have written it wrongly as $-(n+1)^{k+1}$. – Paramanand Singh Oct 04 '18 at 16:05

0 Answers0