8

I enjoy geometric proofs made by cutting-and-pasting. There are some famous examples for Pythagoras's Theorem. Here's another example for the Law of Cosines.

enter image description here

Do you know some other nice proofs using this method?

(NOT for Pythagoras's Theorem, that's been done to death.)

I will add a bounty if someone shows me something particularly insightful.

spraff
  • 1,263
  • 11
  • 22

2 Answers2

3

Here's my trigonograph for the Law of Cosines, which involves cutting-and-looking:

enter image description here

Blue
  • 83,939
2

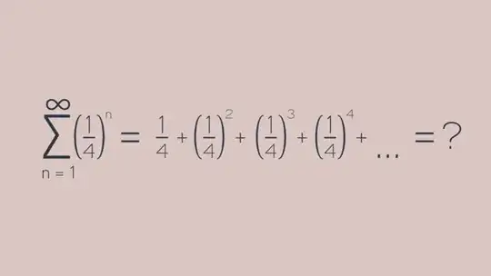
An interesting proof of $$\sum_{n=1}^\infty\left(\frac14\right)^n = \frac13$$

image1 We take a triangle with unit area an divide it into four parts of equal area. We do the same process with the upper triangle an repeat this till infinity!

image2 The area of each triangle is $$\left(\frac14\right)^n$$ where $n$ is the position of triangle from bottom.

image3 Now we separate and rearrange the triangles:

image4 As the number and sizes of triangles are same, their areas will be equal. The area of the light shaded portion will be $$1/3$$

image5 $$\therefore \sum_{n=1}^\infty\left(\frac14\right)^n = \frac13$$

image6 Source of the pictures- Infinite Sums | Geometric Series | Explained Visually

You can follow his channel at Think Twice for more such interesting visual proofs.

PS Another interesting cutting pasting proof is Area of dodecagon | Beautiful geometry | Visual mathematics

Chief VOLDEMORT
  • 159
  • 1
  • 1
  • 7