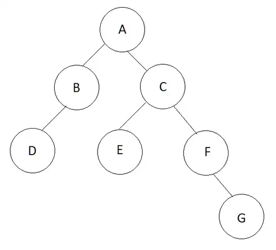
Let's assume we have a one-direction graph and we want to produce a matrix that represents relations:

At first step we have only a matrix that contains straight relations, so for given image we have this matrix:
A B C D E F G
A 1 1 1 0 0 0 0
B 0 1 0 1 0 0 0
C 0 0 1 0 1 1 0
D 0 0 0 1 0 0 0
E 0 0 0 0 1 0 0
F 0 0 0 0 0 1 1
G 0 0 0 0 0 0 1
Now I want a way to calculate final matrix in a way that for each node, if there is any path to destination node, it has 1 else 0 in the matrix:
A B C D E F G
A 1 1 1 1 1 1 1
B 0 1 0 1 0 0 0
C 0 0 1 0 1 1 1
D 0 0 0 1 0 0 0
E 0 0 0 0 1 0 0
F 0 0 0 0 0 1 1
G 0 0 0 0 0 0 1
If we call the first matrix A, what should I do to achieve the second matrix?