I am working through Susan Lea's Mathematics for Physicists however I am stuck on problem 31)b):
31) Prove
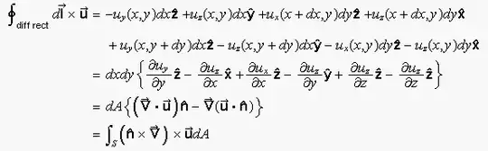
b)
$\int_{S}(\hat{n}\times\vec{\nabla})\times\vec{u}\hspace{0.5mm}dA = \unicode{x222E}_{C}d\vec{l}\times\vec{u} $
I have looked at the solution and understand that first a differential rectangle is constructed in the x-y plane and the integral on the right is then broken down after applying the cross product. However I get stuck afterwards with how the cross product is computed, I use the determinant method to compute crossproducts for the first row is the x,y,z unit vectors but I believe the next two rows are done incorrectly which is why I don't get the appropriate solution:
Can someone please explain this?
