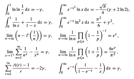
Is there any book which includes proofs of the following integrals (and perhaps many other important definite integrals)?
Asked
Active
Viewed 82 times
1
-
1I don't know of any books, some of these integrals have been discussed here though. – Hamed Aug 27 '18 at 17:49
-
@Hamed, Thanks a lot :) – Aug 27 '18 at 17:52
-
1This is another one. – Hamed Aug 27 '18 at 17:54
