0

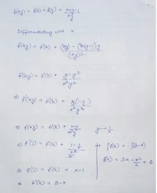
Let $f$ be a differentiable function satisfying the functional rule $f(xy) = f(x) +f(y) + \frac{x+y-1}{xy}$ such that $x,y>0$ and $f'(1) = 2$. Then what is the value of $[f(e^{100})]$.

Where $\lfloor k \rfloor$ denotes the greatest integer less than or equal to $k$.

My try :

enter image description here

Koolman
  • 2,996

1 Answers1

0

Instead of fixing $y$, you can concentrate on the case where $x = y$. That way, you have: $f(x^2) = 2f(x) + \frac{2x-1}{x^2}$. Then, go on differentiating.