I'm learning differential equations recently.Our teacher gave some exercies for us, I did almost all of them but I couldn't understand how to check linear independence , actually I have studied some examples but this questions are looks different for me.
If anybody can show way or any example about them i will be so happy, it's urgent for me.
Check linear independence of the function :

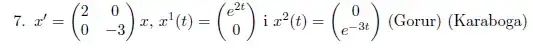
Check that the functions are linearly independent solutions of the system. Find the general solution of the system and a fundamental matrix.

thank you :)