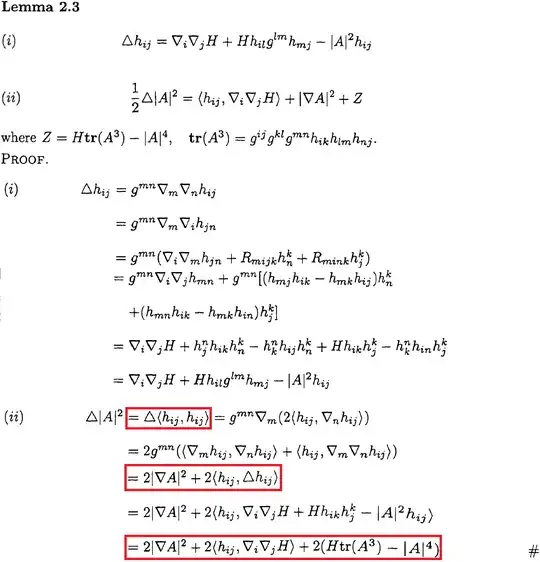
I'm self-study Mean Curvature Flow and I'm stuck on item $(ii)$ of the lemma below
My doubts are referent the equalities marked with a red rectangle
Why $|A|^2 = \langle h_{ij}, h_{ij} \rangle$ ? I know that $|A|^2 = g^{ij}g^{kl}h_{ik}h_{jl}$, but I can't see how $|A|^2 = \langle h_{ij}, h_{ij} \rangle$
What is the definition of $\nabla A$? The closer I got to the definition was on the proof of Lemma 2.2 of this article by Huisken. I think the second equality marked is just by definition, but I would like to know what is the definition of $\nabla A$.
Why $\text{tr} (A^3) = \langle h_{ij}, h_{ik} h^k_j \rangle$?
Thanks in advance!
$\textbf{EDIT:}$ I finally understood why $\text{tr} (A^3) = \langle h_{ij}, h_{ik} h^k_j \rangle$. I will post how to develop $\langle h_{ij}, h_{ik} h^k_j \rangle$ to arrive at this.
By the definition of inner product of tensors (see this topic as well as the comments that I did in Lee's answer for the definition and for a motivation of it),
$\langle h_{ij}, h_{ik} h^k_j \rangle = g^{ii} g^{jj} h_{ij} h_{ik} h^k_j = g^{ii} g^{jj} g^{lk} h_{ij} h_{ik} h_{lj}$
and, as pointed by Anthony on his answer, I can consider an orthonormal frame (it's just assume a local chart with normal coordinates), then
$\langle h_{ij}, h_{ik} h^k_j \rangle = g^{ii} g^{jj} g^{lk} h_{ij} h_{ik} h_{lj} = h_{ij} h_{ik} h_{kj} = h_{ij} h_{jk} h_{ki} = \text{tr} (A^3)$.
