Following @jdods's comment, we may put it as follows.
Provided that
$$
g'(x)=\frac{1}{x^2+g^2(x)}\ge 0,
$$
we have $\forall\,x\in\left[0,\infty\right)$,
$$
g(x)-g(1)=\int_1^xg'(s){\rm d}s\ge\int_1^x0{\rm d}s=0,
$$
i.e.,
$$
g(x)\ge g(1)=1.
$$
Thanks to this fact, we have $\forall\,x\in\left[1,\infty\right)$,
$$
g'(x)=\frac{1}{x^2+g^2(x)}\le\frac{1}{x^2+1}.
$$
This implies that
$$
g(x)-g(1)=\int_1^xg'(s){\rm d}s\le\int_1^x\frac{1}{1+s^2}{\rm d}s=\arctan x-\arctan 1=\arctan x-\frac{\pi}{4},
$$
i.e.,
$$
g(x)\le\arctan x+g(1)-\frac{\pi}{4}=\arctan x+1-\frac{\pi}{4}.
$$
Combine the two estimate from above, we obtain
$$
1\le g(x)\le\arctan x+1-\frac{\pi}{4}\le\lim_{x\to\infty}\arctan x+1-\frac{\pi}{4}=1+\frac{\pi}{4}.
$$
holds for all $x\in\left[0,\pi\right)$. Hence the range of $g$ must be a subinterval of $\left[1,1+\pi/4\right)$ with $1$ included. In other words,
$$
\left\{g(x):x\in\left[1,\infty\right)\right\}=\left[1,\alpha\right),
$$
where
$$
1<\alpha\le 1+\frac{\pi}{4}.
$$
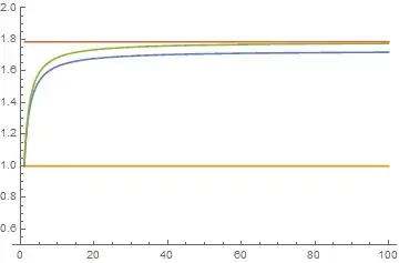
To obtain a precise evaluation for $\alpha$ is rather hard. As can be seen from @Rabie Hdaib's answer, it involves the right-singularity of the principal branch of some composite Bessel function of the first kind. Nevertheless, we may follow @user539887's suggestion, to have a rough idea about this $\alpha$ by looking at the numerical solution to the ODE, as is shown in the figure below.

In the above figure,
- the blue curve corresponds to the numerical values for $g$, i.e., $y(x)=g(x)$,
- the green curve stands for the upper bound estimate for $g$, i.e., $y(x)=\arctan x+1-\pi/4$, as is mentioned in above,
- the red line implies the limit value of this green curve, i.e., $y(x)=1+\pi/4$, and
- the orange line indicates the lower bound of $g$, i.e., $y(x)=1$.
The value of $\alpha$ would be exactly the limit value of the blue curve. You may see that this value is close to, but seemingly not equal to, the limit value of the green curve $1+\pi/4$.