I'm learning the basics of group theory, and must justify every step of a proof by referring to the basic axioms/theorems. Which axioms/theorems justify multiplying or adding an element of a group to both sides of an equation?
Asked
Active
Viewed 569 times
6
-
5It depends on how deep you want to go. It's not a group theory axiom, it's a "mathematics axiom", (in $\sf ZFC$ it would boil down to the Axiom of Extensionality). Morally, if you have "two" equal objects, whatever you do to them results in yet two equal objects. – Git Gud Mar 17 '18 at 23:30
-
1By the way, the identities $aa^{-1}=e$ and $a^{-1}a=e$ tell us that $a$ satisfies the required properties for being the inverse of $a^{-1}$, so it is the inverse of $a^{-1}$. No manipulation is necessary. As to your question, have you got doubts when passing from $2x=4$ to $x=2$ in elementary algebra? I guess not. Well, it's the same, because you multiply both sides by $1/2$. – egreg Mar 17 '18 at 23:47
-
1If $a = b$ then $a$ and $b$ are the same element (call it "fred"). A group has a binary operation and doing the operation on two elements will constantly yield the same result. So fred$\times c$ will be an elment (call it "sally") and fred$\times c$ will always be sally. So if $a = b$ and $a\times c = b\times c$ because $a$ and $b$ diferent ways of saying fred, and $a\times c$ will be fred$\times c$ and $b\times c$ is just fred$\times c$. – fleablood Mar 18 '18 at 00:52
-
1"As to your question, have you got doubts when passing from 2x=4 to x=2 in elementary algebra? " I imagine the OP doesn't but that the OP doesn't know how one can justify that by group axioms. In a way it's not really fair the we say "you must justify everything" and then when comes to justifying things actually exists we say "of things are what they are! We don't have to justify that, duh". And as Git Gud points out we do have existence axioms for that. But usually "equality" is considered "is the same specific thing" and whatever you do to the thing, is done to the thing is assumed. – fleablood Mar 18 '18 at 00:57
-
1Anyway, it's a good question. I'm sorry that my way of dealing with it isn't a good answer. – fleablood Mar 18 '18 at 00:58
-
1See Axioms for group: a group is a set $G$ with an operation (call it: multiplication) such that: (i) $G$ is closed under the operation, (ii) ... – Mauro ALLEGRANZA Mar 18 '18 at 09:50
-
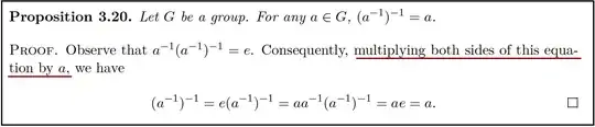
1Thus, we have $a \in G$ and its inverse $a^{-1}$. The last one is in $G$ by axiom 4 and in turn has an inverse : $(a^{-1})^{-1}$. Their product is the identity element $e$ (by ax.3 and 4). Thus we have the equation: $a^{-1}(a^{-1})^{-1}=e$. By axioms for equality, the product of the LHS by $a$ is equal to the product of the RHS by $a$. – Mauro ALLEGRANZA Mar 18 '18 at 09:54
-
1Thus, we need also the theory of equality that, being ubiquitous in mathematics, it is considered usually part of the "underlying logic". – Mauro ALLEGRANZA Mar 18 '18 at 09:56
-
1You can find a formal treatment of group theory in the context of first order logic with eqaulity into D.Goldrei, Propositional and Predicate Calculus: A Model of Argument. – Mauro ALLEGRANZA Mar 18 '18 at 10:15
1 Answers
0
Group operation is first and foremost a map, say $\star\colon G\times G\to G$. Therefore, if $a,b\in G$ are such that $a=b$, then $(a,g)=(b,g)$ for every $g\in G$, and hence $\star(a,g)=\star(b,g)$, or (in infix notation) $a\star g=b\star g$. So, in groups, $a=b\Longrightarrow ag=bg$ for every $g$.
