EDİTED:
I want to ask MSE to confirm the correctness of the alternate solution and its mistake.
My previous attempt was wrong,That's why I made a new initiative.
Using the definition of the derivative I wanted to find the derivative of the function $f(x)=a^x$.
Here $a≠0,a\in \mathbb{R^{+}}$ and $a^x=e^{x \ln a}$
I wrote these:
$(a^x)'=\lim_{\delta x\to 0}\frac{a^{x+\delta x}-a^x}{\delta x}=a^x×\lim_{\delta x\to 0}\frac {a^{\delta x}-1}{\delta x}$
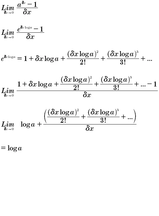
Now,I must find $\lim_{\delta x\to 0}\frac {a^{\delta x}-1}{\delta x}$
I tried to do something:
$$a^{\frac{\delta x}{a^{\delta x}-1}}=\left(1+\left(a^{\delta x}-1\right)\right)^{\frac{1}{a^{\delta x}-1}}$$
$$\lim_{\delta x \to 0} {a^{{\frac {\delta x}{a^{\delta x}-1}}}}=\lim_{\delta x \to 0} {{\left(1+\left(a^{\delta x}-1\right)\right)^{\frac{1}{a^{\delta x}-1}}}}$$
$$a^{\lim_{\delta x\to 0}{{{\frac {\delta x}{a^{\delta x}-1}}}}}=\lim_{\delta x \to 0} {{\left(1+\left(a^{\delta x}-1\right)\right)^{\frac{1}{a^{\delta x}-1}}}}$$
$$a^{\lim_{\delta x\to 0}{{{\frac {\delta x}{a^{\delta x}-1}}}}}=e$$
$$\lim_{\delta x\to 0}{{{\frac {\delta x}{a^{\delta x}-1}}}}=\log_a{e}$$
$$\frac{1}{\lim_{\delta x\to 0}{{{\frac {\delta x}{a^{\delta x}-1}}}}}=\frac{1}{\log_a{e}},\log_a{e}≠0$$
$$\lim_{\delta x\to 0} \frac {1}{ \frac{\delta x}{a^{\delta x}-1}}=\ln a$$
$$\lim_{\delta x\to 0}\frac {a^{\delta x}-1}{\delta x}=\ln a$$
I used:
$\lim_{n\to 0}{n}=\lim_{\delta x\to 0}{(a^{\delta x}-1)}=a^0-1=0$
$\lim_{\delta x \to 0} {{\left(1+\left(a^{\delta x}-1\right)\right)^{\frac{1}{a^{\delta x}-1}}}}=\lim_{n\to 0}{(1+n)^{\frac 1n}}=e$
Finally,
$$(a^x)'=\lim_{\delta x\to 0}\frac{a^{x+\delta x}-a^x}{\delta x}=a^x×\lim_{\delta x\to 0}\frac {a^{\delta x}-1}{\delta x}=a^x \ln a$$
Is this method/way/solution correct?
Thank you!
