15

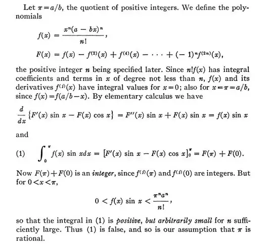
The following is Ivan Niven's simple proof that $\pi$ is rational: !Ivan Niven's simple proof that $\pi$ is rational:

Here I didn't understand this part:

For $0\lt x\lt \pi,$ $$0\lt f(x)\sin x\lt {\pi^na^n\over n!}$$

First of all how he concluded this inequality? Secondly knowing that for sufficiently large n, the integral in (1) is arbitrarily small ; how he concluded that (1) is false and thus $\pi$ is irrational?

Leyla Alkan
  • 2,471
  • The largest value of ${x(\pi - x);: x\in [0,\pi]}$ is $\pi^2/4$, so $ 0< \int_0^{\pi}f(x)\sin x ;dx\leq \int_0^{\pi}f(x)dx=$ $\int_0^{\pi} (x(\pi - x))^nb^n/n!;dx\leq$ $ \pi \cdot (b\pi^2/4)^n/n!.$ – DanielWainfleet Feb 04 '18 at 03:46

2 Answers2

10

For $0 < x < π$, note that $\displaystyle π = \frac{a}{b}$, \begin{align*}0 < f(x) \sin x \leqslant f(x) &= \frac{1}{n!} x^n (a - bx)^n = \frac{1}{n!} \left(-b\left(x - \frac{a}{2b}\right)^2 + \frac{a^2}{4b}\right)^n\\ &\leqslant \frac{1}{n!} \left(\frac{a^2}{4b}\right)^n = \frac{1}{n!} \left(\frac{πa}{4}\right)^n < \frac{π^n a^n}{n!}. \end{align*}

For the second question, a positive integer must be at least $1$, but the integral tends to $0$ when $n \to \infty$, which is a contradiction.

Ѕᴀᴀᴅ
  • 35,369
9

First regarding the inequality :

Consider the polynomial $f(x)$ on the interval $[0,\pi]$,

$$ f(x) = \frac{x^n(a-bx)^n}{n!}, $$

$$ f(x) = \frac{x^n a^n (1-bx/a)^n}{n!}, $$

$$ f(x) = \frac{x^n a^n (1-x/\pi)^n}{n!}, $$

Now note that $0\leq x/\pi \leq 1$ which implies that $0 \leq (1-x/\pi) \leq 1$

$$ f(x) = \frac{x^n a^n }{n!} (1-x/\pi)^n \leq \frac{x^n a^n }{n!} , $$

Now just note that $x<\pi$.

$$ f(x) = \frac{x^n a^n }{n!} (1-x/\pi)^n \leq \frac{\pi^n a^n }{n!} , $$


Regarding the conclusion :

Niven showed three properties of the integral which are incompatible.

1) The integral is positive for all $n$. 2) The integral is an integer for all $n$. 3) The integral can be made arbitrarily small for sufficiently large $n$.

The smallest positive integer is $1$. Conclusion (3) tells us that there is a large enough $n$ to make the integral smaller than $1$. Therefore conclusion (2) and conclusion (3) contradict each other.

This contradiction is a consequence of the assumption that $\pi$ is rational, so we conclude that $\pi$ is not rational.

Spencer
  • 12,691