88

For example: $$7x \equiv 1 \pmod{31} $$ In this example, the modular inverse of $7$ with respect to $31$ is $9$. How can we find out that $9$? What are the steps that I need to do?

Update
If I have a general modulo equation:
$$5x + 1 \equiv 2 \pmod{6}$$

What is the fastest way to solve it? My initial thought was: $$5x + 1 \equiv 2 \pmod{6}$$ $$\Leftrightarrow 5x + 1 - 1\equiv 2 - 1 \pmod{6}$$ $$\Leftrightarrow 5x \equiv 1 \pmod{6}$$

Then solve for the inverse of $5$ modulo 6. Is it a right approach?

Thanks.

roxrook
  • 12,399

9 Answers9

87
  1. One method is simply the extended Euclidean algorithm: \begin{align*} 31 &= 4(7) + 3\\\ 7 &= 2(3) + 1. \end{align*} So $ 1 = 7 - 2(3) = 7 - 2(31 - 4(7)) = 9(7) - 2(31)$. Viewing the equation $1 = 9(7) -2(31)$ modulo $31$ gives $ 1 \equiv 9(7)\pmod{31}$, so the multiplicative inverse of $7$ modulo $31$ is $9$. This works in any situation where you want to find the multiplicative inverse of $a$ modulo $m$, provided of course that such a thing exists (i.e., $\gcd(a,m) = 1$). The Euclidean Algorithm gives you a constructive way of finding $r$ and $s$ such that $ar+ms = \gcd(a,m)$, but if you manage to find $r$ and $s$ some other way, that will do it too. As soon as you have $ar+ms=1$, that means that $r$ is the modular inverse of $a$ modulo $m$, since the equation immediately yields $ar\equiv 1 \pmod{m}$.

  2. Another method is to play with fractions Gauss's method: $$\frac{1}{7} = \frac{1\times 5}{7\times 5} = \frac{5}{35} = \frac{5}{4} = \frac{5\times 8}{4\times 8} = \frac{40}{32} = \frac{9}{1}.$$ Here, you reduce modulo $31$ where appropriate, and the only thing to be careful of is that you should only multiply and divide by things relatively prime to the modulus. Here, since $31$ is prime, this is easy. At each step, I just multiplied by the smallest number that would yield a reduction; so first I multiplied by $5$ because that's the smallest multiple of $7$ that is larger than $32$, and later I multiplied by $8$ because it was the smallest multiple of $4$ that is larger than $32$. Added: As Bill notes, the method may fail for composite moduli.

Both of the above methods work for general modulus, not just for a prime modulus (though Method 2 may fail in that situation); of course, you can only find multiplicative inverses if the number is relatively prime to the modulus.

Update. Yes, your method for general linear congruences is the standard one. We have a very straightforward method for solving congruences of the form $$ax \equiv b\pmod{m},$$ namely, it has solutions if and only if $\gcd(a,m)|b$, in which case it has exactly $\gcd(a,m)$ solutions modulo $m$.

To solve such equations, you first consider the case with $\gcd(a,m)=1$, in which case $ax\equiv b\pmod{m}$ is solved either by finding the multiplicative inverse of $a$ modulo $m$, or as I did in method $2$ above looking at $\frac{b}{a}$.

Once you know how to solve them in the case where $\gcd(a,m)=1$, you can take the general case of $\gcd(a,m) = d$, and from $$ax\equiv b\pmod{m}$$ go to $$\frac{a}{d}x \equiv \frac{b}{d}\pmod{\frac{m}{d}},$$ to get the unique solution $\mathbf{x}_0$. Once you have that unique solution, you get all solutions to the original congruence by considering $$\mathbf{x}_0,\quad \mathbf{x}_0 + \frac{m}{d},\quad \mathbf{x}_0 + \frac{2m}{d},\quad\ldots, \mathbf{x}_0 + \frac{(d-1)m}{d}.$$

Anne Bauval
  • 49,005
Arturo Magidin
  • 417,286
  • 3
    @Arturo Magidin: Thanks, it's a lot of work :(. I thought it's just a simple calculation. – roxrook Mar 06 '11 at 23:38
  • 9
    @Chan: Your definition of "a lot of work" needs revising, if you plan on studying more number theory and maths. The above is surprising little work, in my estimation... – Arturo Magidin Mar 06 '11 at 23:40
  • 3
    @Arturo Magidin: Thanks for the advice. However, I have many other things that I want to study. I like Number Theory, but also Geometry, Computer Graphics, Algorithm, C++, Ruby, Compiler, AI..., plus my school classes. I wish a day could have 48 hours. – roxrook Mar 06 '11 at 23:43
  • 1
    @Chan: Trust me, you aren't the only one making that wish. But I really don't know what it is you think that the above methods are "a lot of work". Even the Euclidean algorithm method works, in this case, in two simple steps. Did you hope that just a sum and a product would do it every time? – Arturo Magidin Mar 06 '11 at 23:45
  • @Arturo Magidin: Yes, I thought exactly like you said, because in the book that I read, it does not show step by step. It just jumps right to the answer. – roxrook Mar 06 '11 at 23:47
  • 3
    the euclidean algorithm is simple and easily programed... – yoyo Mar 06 '11 at 23:48
  • 2
    @Chan: Just for your information: the Euclidean Algorithm is considered a very fast algorithm; certainly faster than factoring and many other calculations that one often needs to do. In fact, many factoring algorithms work by making educated guesses and then computing gcds by using the Euclidean Algorithm in the hope of getting a nontrivial factor that way, precisely because the Euclidean Algorithm is so efficient. – Arturo Magidin Mar 06 '11 at 23:50
  • @Arturo Magidin: Thanks, I really didn't know the the Euclidean Algorithm was that fast. I will practice it more. By the way, could you take a look at my update? – roxrook Mar 06 '11 at 23:53
  • 1
    @Arturo: It should be emphasized that the "play with fractions" method may fail for composite moduli. See the link to "Gauss's method" in my answer. – Bill Dubuque Mar 06 '11 at 23:54
  • @Arturo Magidin: Thank you very much for your update answer. I really appreciate it. – roxrook Mar 07 '11 at 00:00
  • @Bill: Thanks for the heads-up. – Arturo Magidin Mar 07 '11 at 00:02
  • @BillDubuque You said the method "may fail with composite moduli", but OP explicitly said that "the only thing to be careful of is that you should only multiply and divide by things relatively prime to the modulus". It was clearly emphasized. If you follow what he said, you'll never have any problems with composite moduli. – user26486 Jan 28 '15 at 19:14
  • 1
    @user314 The point is that if you apply what I call Gauss's algorithm for non-prime moduli then it may fail due to occurrence of non-invertible denominators, and there may be no way to workaround that. You can find many worked examples in my posts. Note: the name "Gauss's algorithm", and its fractional interpretation are due to me. – Bill Dubuque Jan 28 '15 at 19:39
  • @BillDubuque I'm repeating: he clearly emphasized that "you should only multiply and divide by things relatively prime to the modulus". If you do that, the method will never fail for composite moduli. You were wrong in saying that the exact method described by Arturo (method 2.) may fail. – user26486 Jan 28 '15 at 19:54
  • 1
    @user314 Arturo and I refer to a specific algorithm that I extracted out of a proof Disq. Arith. We are not referring to arbitrary modular manipulation of fractions. Said algorithm may or may not succeed in computing inverses wrt composite moduli. Follow the links to learn more. – Bill Dubuque Jan 28 '15 at 20:04
  • @BillDubuque All we need (to use the method) is two facts: 1) $\frac{1}{b}\equiv \frac{c}{bc}\pmod m$ whenever $(b,m)=1, (c,m)=1$; 2) $b\equiv d\pmod m\implies \frac{1}{b}\equiv\frac{1}{d}\pmod m$ whenever $(b,m)=1$. I can prove them if you wish. None of them require $m$ being composite and they are the only ones used in the method. – user26486 Jan 28 '15 at 20:18
  • @BillDubuque And I can also prove that the method can always produce the actual inverse: $b^{-1}\mod m$ is defined (where $(b,m)=1$), and so I can always find a number $a=b^{-1}\mod m$ such that $\frac{1}{b}\equiv\frac{a}{ba}\equiv a\pmod m$ (we know that $(a,m)=1$). – user26486 Jan 28 '15 at 20:44
  • 2
    @user314 Please tell how your algorithm computes $,1/7\pmod{30}\ \ $ – Bill Dubuque Jan 28 '15 at 20:55
  • @BillDubuque $\frac{1}{7}\equiv\frac{1\cdot 13}{7\cdot 13}\equiv \frac{13}{91}\equiv \frac{13}{1}\equiv 13\pmod {30}$. – user26486 Jan 28 '15 at 21:06
  • 2
    @user314 And what algorithm did you use? Where did $13$ come from? You simply pulled the inverse out of a hat, like magic! – Bill Dubuque Jan 28 '15 at 21:08
  • @BillDubuque I didn't read that the method requires you to multiply by a number that makes the reduction as minimal as possible. Though you can still do this using the actual method: $\frac{1}{7}\equiv\frac{7}{49}\equiv\frac{7}{19}\equiv\frac{49}{133}\equiv\frac{19}{13}\equiv\frac{133}{91}\equiv\frac{13}{1}\equiv 13\pmod{30}$. – user26486 Jan 28 '15 at 21:16
  • 1
    @user314 The method I attribute to Gauss is a (deterministic) algorithm. There are indeed plenty of (non-algorithmic) ways to "fiddle" with fractions to compute inverses etc (see my posts for many examples). But these are not algorithms. My comment to Arturo refers to the specific algorithm that I named after Gauss (which Arturo learned from me here or on sci.math). – Bill Dubuque Jan 28 '15 at 21:23
  • 1
    @ArturoMagidin Good exposition. Maybe you could complete your part one mentioning, for the OP, the Extended Euclidean Algorithm which provides a brainless (and deterministic) process to get the coefficients of a Bezout relation. – Duchamp Gérard H. E. Oct 10 '16 at 02:31
  • This might be outdated, but thanks for this amazing comment. This method will save me a lot of time when finding multiplicative inverses. +1 –  Dec 12 '16 at 17:39
  • In option 1, I am having difficulty making the jump from 7−2(31−4(7)) to 9(7)−2(31). I see it as 7-2(31)+8(7) -> 7+56, which is 63 or 1 in Mod(31), but that does not give me a multiplicative for 7 (7 continues to stand alone). Can someone provide more details? – SpacemanScott Apr 17 '23 at 13:35
  • @SpacemanScott group the sevens together. You have $7+8(7)-2(31) = 7(1+8)-2(31)=7(9)-2(31)$. And then $1 = 7(9)-2(31) \equiv 7(9) \pmod{31}$, so $7$ times $9$ is $1$ modulo $31$. – Arturo Magidin Apr 17 '23 at 13:39
  • @ArturoMagidin Thanks. The 7 + 2*4(7) = 7(1)+7(8) = 7 (1+8) was what I didn't see. – SpacemanScott Apr 17 '23 at 20:58
12

We know that $(7,31) = 1$. So you can use the extended Euclidean algorithm. In particular, you can find two integers $s,t$ such that $7s+31t = 1$. So $7s \equiv 1 \pmod {31}$.

11

A hint: Try to use Fermats Little theorem:

$a^{p-1}=1 \mod p$ for $p$ prime, and all $a\in \mathbb{Z}$.

Thomas Rot
  • 10,399
  • 7
    7^29 mod 31 certainly works in this case, but for larger numbers it might be a bit of an effort compared with the Euclidean algorithm, and it would get more complicated by involving Euler's totient function for a non-prime modulus. – Henry Mar 06 '11 at 23:57
  • 1
    You can use binary exponentiation for high powers. – qwr Oct 08 '23 at 12:09
9

We can visualize the solution to $7x \equiv 1 \pmod{31}$ as the intersection of the two "lines"

$\ \ \ \ \ y \equiv 7x \pmod{31}$ and $y \equiv 1 \pmod{31}$.

The first line is closed under addition and subtraction, since it passes through the origin. If $(x_1, y_1)$ and $(x_2, y_2)$ are points on the line $y \equiv 7x \pmod{31}$, then so are $(x_1+x_2, y_1+y_2)$ and $(x_1-x_2, y_1-y_2)$.

To find a point where the lines intersect, we start with the two points $(1, 7)$ and $(0,31)$ on the first line, and repeatedly subtract one point from another until the $y$-coordinate is 1.

$\ \ \ \ \ (0,31) - (1,7) = (-1, 24)$

$\ \ \ \ \ (-1, 24) - (1,7) = (-2, 17)$

$\ \ \ \ \ (-2, 17) - (1, 7) = (-3, 10)$

$\ \ \ \ \ (-3, 10) - (1, 7) = (-4, 3)$

$\ \ \ \ \ (1,7) - (-4, 3) = (5, 4)$

$\ \ \ \ \ (5,4) - (-4, 3) = (9,1)$

Therefore, $x \equiv 9 \pmod{31}$.

You can speed up this procedure by subtracting a multiple of one point from another point instead. This leads to the Euclidean algorithm.

4

There are many methods available, e.g. the extended Euclidean algorithm, $ $ or a special case of Euclid's algorithm that computes inverses modulo primes that I call Gauss's algorithm. $ $ The calculations are usually simpler using modular fraction arithmetic e.g. see here, and here and here for circa $20$ motley worked examples via a handful of methods (and see the sidebar "Linked" questions lists there for many more).


Update $ $ March $16, 2020\!:\,$ for completeness we apply some of the linked methods below.


$\!\!\bmod 31\!:\,\ \dfrac{1}{7}\equiv \dfrac{4}{28}\equiv\dfrac{-27}{-3}\equiv 9\ $ by Gauss's algorithm.


$\!\!\bmod 31\!:\,\ \dfrac{1}{7}\equiv \dfrac{1}{-6}\,\dfrac{1}{4}\equiv \dfrac{-30}{-6}\,\dfrac{32}{4}\equiv 5\cdot 8\equiv 9$


As here: $ $ the freedom to choose $\rm\color{#c00}{even}$ residue reps $\!\bmod\!$ odds makes division by 2 easy:

$\!\!\bmod 31\!:\,\ \dfrac{1}{7}\equiv\dfrac{\color{#c00}{32}}{\color{#c00}{-24}}\equiv\dfrac{4}{-3}\equiv\dfrac{-27}{-3}\equiv 9$


By the fractional extended Euclidean algorithm, or associated equational form

$ \begin{align} \bmod 31\!:\ \ \dfrac{0}{31}\overset{\large\frown}\equiv\color{#c00}{\dfrac{1}7}\ \, &\!\!\!\overset{\large\frown}\equiv\color{#0a0}{\dfrac{-4}3}\overset{\large\frown}\equiv\color{#90f}{\dfrac{9}1}\\[.7em] \text{said equationally}\ \ \ \ [\![1]\!]\ \ \ \ 31\, x&\,\equiv \ 0\ \\ [\![2]\!] \ \ \ \ \ \ \color{#c00}{7\,x}&\ \color{#c00}{ \equiv\ 1}\!\!\!\\ [\![1]\!]-4\,[\![2]\!] \rightarrow [\![3]\!]\ \ \ \ \ \ \color{#0a0}{3\,x} &\ \color{#0a0}{\equiv\ {-}4}\ \\ [\![2]\!] - 2\,[\![3]\!] \rightarrow [\![4]\!]\, \ \ \ \ \ \ \ \ \color{#90f}{x}&\ \color{#90f}{ \equiv\ 9} \end{align}$


Below we explain the basic idea behind the method of Inverse Reciprocity.

$\!\!\bmod 31\!:\,\ n \equiv \dfrac{1}7\equiv \dfrac{1+31\color{#c00}k}7.\ $ For an exact quotient we seek $\,k\,$ with $\,7\mid 1\!+\!31k,\,$ i.e.

$\!\!\bmod 7\!:\,\ \begin{align}0&\equiv 1\!+\!31k\\ &\equiv 1 + 3k\end{align}\!$ $\iff\! \begin{align}3k&\equiv-1\\ &\equiv\,\ 6\end{align}\!$ $\iff \color{#c00}{k\equiv 2},\ $ so $\ n \equiv \dfrac{1\!+\!31(\color{#c00}2)}7\equiv 9\pmod{\!31}$


Or $\rm\ (a,m)\!=\!1 \overset{\rm Euler\ \phi}\Longrightarrow\ a^{-1} \equiv a^{\phi(m)-1}\!\pmod{\! m},\,$ quickly computable by repeated squaring. It suffices to find any (small) period $\rm\,e,\,$ of $\rm\,a,\,$ i.e. $\rm\,e\,$ such that $\rm\,a^{\large e}\equiv 1\,$ (e.g. by Euler's totient or Fermat's little theorem or Carmichael's lambda theorem), since this implies $\rm\,a^{-1}\equiv a^{e-1}$.

Remark $ $ The latter yields a simple closed form for CRT (Chinese Remainder Theorem)

$\quad$ if $\rm\,\ (m,n)\!=\!1\,\ $ then $\rm\quad \begin{eqnarray}\rm x\!&\equiv&\rm a\ \ (mod\ m)\\ \rm x\!&\equiv&\rm b\ \ (mod\ n)\end{eqnarray} \iff\ x\equiv a\,n^{\phi(m)}\!+b\,m^{\phi(n)}\ \ (mod\ mn)$

More generally see the Peirce decomposition.

Bill Dubuque
  • 282,220
  • @BillDubuque can we invert if totient is unknown? – Turbo Sep 01 '17 at 01:10
  • @777 Yes, see the other two methods I mentioned above. – Bill Dubuque Sep 01 '17 at 02:45
  • @BillDubuque which ones? all seems to use factorization of $m$ or $\phi(m)$ and nothing avoids these. – Turbo Sep 01 '17 at 02:51
  • @777 The extended Euclidean algorithm and Gauss's algorithm do not use factorization. Follow the links to learn these methods. – Bill Dubuque Sep 01 '17 at 03:13
  • @BillDubuque so both these methods do not need factorization of $m$ or knowledge of $\phi(m)$. Then doesn't that help to get decryption key $d$ in RSA from encryption key $e$? – Turbo Sep 01 '17 at 22:47
  • @777 If we know $,\phi(n),$ (or a multiple) then it is fast. But no fast was of computing $\phi(n),$ is known. – Bill Dubuque Sep 02 '17 at 00:40
  • @BillDubuque then what about 'can we invert if totient is unknown or factorization is unknown?'? – Turbo Sep 02 '17 at 00:42
  • @777 The inverse depends on the modulus, e.g. $!\bmod{,2n!-!1}!:,\ 2^{-1}\equiv n,$ by $,2n\equiv 1\ \ $ – Bill Dubuque Sep 02 '17 at 01:09
2

An alternative way to solve would be to use the fast powering algorithm.

$a^{-1}≡a^{p-2} \mod p$ for $p$, $a\in \mathbb{Z}$.

$7^{-1} \mod 31 = 7^{29} \mod 31 ≡ 9 \mod 31$

According to An Introduction to Mathematical Cryptography by Hoffstein et al, in practice this is about the same time complexity as the extended Euclidean algorithm given in other answers.

Before using the fast powering algorithm I would first check to see if a and p are relatively prime, so that you know an inverse exists before performing the calculation.

Aaron
  • 149
2

Solve $7x \equiv 1 \pmod{31}$.

$\quad 7x = 1 + 31y \implies 3y \equiv 6 \pmod{7} \implies y \equiv 2 \pmod{7}$

and

$\quad y : 2 \; \mid \; 1 + 31y = 63 \quad \quad \text{AND is divisible by } 7$

So,

$\tag{ANS} 7^{-1} \equiv 9 \pmod{31}$


Here is another more interesting example:

Solve $25x \equiv 1 \pmod{41}$.

$\quad 25x = 1 + 41y \implies y \equiv 4 \pmod{5}$

and

$\quad y : \;\,4 \; \mid \; 1 + 41y = 165 \quad \quad \text{NO GOOD!}$
$\quad y : \;\,9 \; \mid \; 1 + 41y = 370 \quad \quad \text{NO GOOD!}$
$\quad y : 14 \; \mid \; 1 + 41y = 575 \quad \quad \text{AND is divisible by } 25$

So,

$\tag{ANS} 25^{-1} \equiv 23 \pmod{41}$


Here is another more interesting example:

Solve $23x \equiv 1 \pmod{41}$.

$\quad 23x = 1 + 41y \implies 18y \equiv 22 \pmod{23} \implies 9y \equiv 11 \pmod{23}$

Sub Solve: $9y \equiv 11 \pmod{23}$.

$\quad 9y = 11 + 23z \implies 2z \equiv 1 \pmod{3} \implies z \equiv 2 \pmod{3}$

and

$\quad z : \;\,2 \; \mid \; 11 + 23z = 057 \quad \quad \text{NO GOOD!}$
$\quad z : \;\,5 \; \mid \; 11 + 23z = 126 \quad \quad \text{AND is divisible by } 9$

So,

$\quad 9y \equiv 11 \pmod{23} \text{ iff } y \equiv 14 \pmod{23}$

Continuing where we left off with the original problem,

$\quad y : \;\,14 \; \mid \; 1 + 41y = 575 \quad \quad \text{AND is divisible by } 23$

So,

$\tag{ANS} 23^{-1} \equiv 25 \pmod{41}$

CopyPasteIt
  • 11,870
  • Thank you. How you come up with $3y \equiv 6 \pmod{7}$ in $\quad 7x = 1 + 31y \implies 3y \equiv 6 \pmod{7} \implies y \equiv 2 \pmod{7}$? – Avv Mar 18 '21 at 21:12
  • If $7x=1+31y$ then $0 \equiv 1 + 31y \pmod7$ then $31y \equiv -1 \pmod7$ then $\big[(4\cdot7 +3)y \equiv 6 - (1\cdot7) \big]\pmod7$ then $3y \equiv 6 \pmod7$. – CopyPasteIt Jun 13 '21 at 15:58
0

The Arithmetical Progression f(n) = a + (n-1)d has only a finite number of terms for any modulus d and where a is the "initial" value, f(1), even when n is allowed to range over ℤ, so no holds barred trying negative values to quickly reach a coefficient of 1 or a -1.

In this example all moduli are to 31, starting from coefficient 7 one possibility is:

7x ≡ 1

⇒ -24x ≡ 32 (subtracting the modulus on the left and adding the modulus to the right)
⇒  -3x ≡ 4 (∵ gcd (12, 31) = 1)
⇒ -30x ≡ 40
⇒   1x ≡ 9

The above is an application of congruence article in the chapter on theory of numbers in Higher Algebra By H.S. Hall and S.R. Knight May 1887 (pdf probably available online).

feetwet
  • 201
0

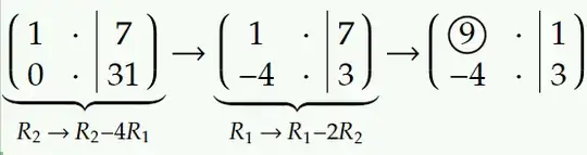
$$7x\equiv 1\pmod{31}$$

We are seeking integer solutions of the equation,

$$7x+31y=1$$

Find a linear transformation $\begin{pmatrix}\cdot & \cdot \\ \cdot &\cdot\end{pmatrix}$ consisting of integer entries which maps the vector $\begin{pmatrix}7\\ 31\end{pmatrix}$ to some vector of the form $\begin{pmatrix}1\\ \cdot\end{pmatrix}$ or $\begin{pmatrix}\cdot\\ 1\end{pmatrix}$.

The identity transformation: $$\begin{pmatrix} 1 & 0\\ 0 & 1\end{pmatrix}\begin{pmatrix} 7\\ 31\end{pmatrix} =\begin{pmatrix}7\\31\end{pmatrix}$$

Now apply successive elementary row operations on the augmented matrix until you get the desired form on the RHS.

enter image description here

$$\Longrightarrow \begin{pmatrix} 9 & -2\\ -4 & 1 \end{pmatrix}\begin{pmatrix} 7\\ 31 \end{pmatrix} =\begin{pmatrix} 1\\ 3 \end{pmatrix}$$

$$\Longrightarrow 7( 9) +31( -2) =1\\ \Longrightarrow x\equiv 9\pmod{31}$$

This is just a different perspective to the extended Euclidean algorithm. I think this is useful, if you want to code the algorithm :)

Ideally, if you are up for finding $x$, you would not calculate the values on the second column because those are of no use.

enter image description here

Nothing special
  • 3,690
  • 1
  • 7
  • 27