5

There is an exercise for functor-of-points approach of algebraic geometry. Our definition of scheme is: A scheme is a functor such that (1) it is local (2) it has an open affine cover.

I think I have solved (2), but I am worring that if I have got (1) correct:

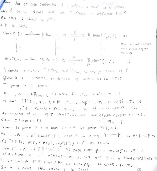
The following is a possible solution: enter image description here I am not so sure whether it is correct. The main reason is that it seems that I have proved every subfunctor of a local functor is local, it is obviously not the case. And I have not use the openess of the subfunctor here. But I checked it several times and cannot find where is the problem.

Thanks for telling me what is wrong here! If something is wrong here, how to correct it? Or if it is correct and there is just something that I have not fully understand, please point it out.

Many thanks!

red_trumpet
  • 11,169
  • The part where you prove that $\varphi\in Hom(Y,P)$ is nonsense. You are talking about functors, $\varphi(Y)\subset P$ doesn't make sense in that context. What exactly is your definition of an open subfunctor? Where are those functors defined? I don't know which definition is standard. – Horstenson Nov 09 '17 at 17:43
  • @Horstenson Our definition is: open subfunctor: $X$ is a functor $\sf Alg_R\to \sf Sets$. A subfunctor $U\subseteq X$ is closed if for all $f:X'$ such that $X'$ is an affine scheme, and all $f: X'\to X$, ${f}^{-1}(U)\subseteq X'$ is open. – non-abelian group of order 9 Nov 09 '17 at 22:34
  • @Horstenson Sorry I cannot see why it does not make sense... How to correct it? – non-abelian group of order 9 Nov 09 '17 at 22:36
  • The way you write it $f^{-1}(U)$ is very misleading. $X$ is a functor and $f$ a transformation of functors, not a map between spaces. The normal definition is that for each $f:X' \rightarrow X$, $U\times_f X' \rightarrow X'$ is the inclusion of an open subscheme. Since $X'$ is an actual space this makes sense. – Horstenson Nov 10 '17 at 12:31
  • @Horstenson $f^{-1}(U)$ is standard notation in Demazure and Gabriel and in Jantzen, which are the two main sources for this approach. – Jim Dec 16 '17 at 01:18

1 Answers1

1

This proof isn't correct.

You have the right idea, your maps lift to a map $\phi\colon Y \to X$ and you need to prove that the image of $\phi$ is actually contained in $P$. Then you have your lift $\phi\colon Y \to P$ which is unique because any lift to a map $Y \to X$ is unique.

The problem with the proof is in proving that $\phi\colon Y \to X$ has image in $P$. You use the equation $Y = \bigcup_iY_i$ which you think follows from the fact that the $Y_i$ cover $Y$, but remember these are functors and in this functorial approach the definition of a cover is that $Y(k) = \bigcup_iY_i(k)$ whenever $k$ is a field. For an arbitrary ring $B$ the equation $Y(B) = \bigcup_iY_i(B)$ need not hold. If it did hold then every functor would be local because we can glue maps in the category of sets.

As for how to fix it? I see you are assuming that $Y$ is an affine scheme, so $Y = \hom(A, -)$, if you can also assume that the $Y_i$ are of the form $D(x_i)$ for $x_i \in A$ (which, btw, is how local functors are defined in Demazure and Gabriel) then by Yoneda the localization sequence becomes $$X(A) \to \prod_iX(A_{x_i}) \rightrightarrows \prod_{ij}X(A_{x_ix_j})$$ Then to show that $P$ is local you need to show that if $x \in X(A)$ maps to $P(A_{x_i})$ for each $i$ then $x \in P(A)$. You do this by first proving the following lemma:

Lemma: Let $P \subseteq X$ be $R$-functors. Then $P$ is open if and only if for every element $x \in X(A)$ there exists an ideal $\mathfrak a_x \leq A$ such that for all $R$-algebra maps $f\colon A \to S$ the induced map $X(f)\colon X(A) \to X(S)$ sends $x$ into $P(S)$ if and only if $Sf(\mathfrak a_x) = S$.

and then showing that $\mathfrak a_x = A$ because $x$ mapping to $P(A_{x_i})$ for each $i$ means $\mathfrak a_xA_{x_i} = A_{x_i}$ for all $i$, hence $x_i \in \mathfrak a_x$ for all $i$.

Unfortunately I don't know how to extend from affine open subfunctors to arbitrary open subfunctors. I have that question myself.

Jim
  • 31,547