I know that there are proofs that a fully faithful and essentially surjective functor realises an equivalence of categories. There are hints how to prove that e.g. here and here.
However, I made up an example that seems like a counter-example to that statement and at the moment I just can not spot my (probably trivial) mistake, so please help me to point it out.
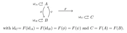
The example is as follows: Consider the following diagram:

and take $A$ and $B$ to be objects of category $\mathcal{C}$. Let them be sets where $A$ has 3 elements and $B$ has 2 elements and let $\phi$ send these 3 elements to only one element of $B$ and let $\psi$ send the 2 elements of $B$ to one of the elements of $A$.
Now let $C$ be the object of category $\mathcal{C}_2$, let it also be a set with one element and let the functor $F$ send the objects and arrows as indicated below the diagram.
Is there already an error in this construction? If not, one can show that $F$ is fully faithful and essentially surjective:
A functor is said to be faithful/full iff for every $A,A'\in\mathcal{C}$, the induced map $F:\text{Mor}(A,A')\rightarrow\text{Mor}(F(A),F(A'))$ is injective/surjective.
This is the case because there is always exactly one morphism from any object $A\in\mathcal{C}$ to any other object $A'\in\mathcal{C}$ which can then be mapped to the identity.
A functor is said to be essentially surjective iff for every object $C$ in $\mathcal{C}_2$, there is an object $A\in\mathcal{C}$ such that $F(A)=C$.
This is true too by definition of $F$. However,
A functor $F:\mathcal{C}\rightarrow\mathcal{C}_2$ is said to realise an equivalence iff there is a functor $G:\mathcal{C}_2\rightarrow\mathcal{C}$ such that $F\circ G\cong 1_{\mathcal{C}}$ and $G\circ F\cong 1_{\mathcal{C}_2}$.
Now I do not see which functor could be constructed to show the equivalence because if $G$ sends $C$ to $G(C)=A$, then $G(F(B))=A$ and $A$ is not isomorphic to $B$. The same holds if $G(C)=B=G(F(A))$.
What is it that I do not take into consideration properly? Thank you.