Here is my problem:
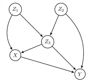
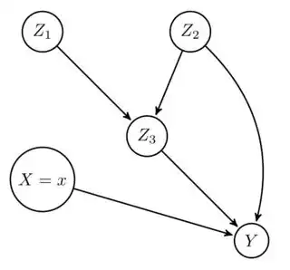
There is a causal Markovian model as follows.
By the definition of interventional probability, since $\text{do}(x)$ makes no edges between $X$ and $Z_1, Z_2$, we have
$$ P(y\mid \text{do}(x)) =\sum_{z_1,z_2,z_3}P(z_1)P(z_2)P(z_3\mid z_1, z_2)P(y \mid z_2, z_3, x), > $$ where $\text{do}(\cdot)$ is so-called do-calculus (Judea pearl, 2010).
Then show that the summation over $z_2$ is $$ P(y\mid \text{do}(x)) =\sum_{z_1, z_3} P(z_1) P(z_3\mid z_1)P(y \mid z_1, z_3, x). $$
Here is what is tried.
To hold the equality of the above problem, we must have $$ \sum_{z_2} P(z_3 \mid z_1,z_2)P(y,z_2,z_3,x) $$ should be same with $$ P(y,z_1,z_3,x), $$ but I don't know how this can happen.
Thanks,
Reference: Judea Pearl, 2010, An Introduction to Causal Inference, The International Journal of Biostatistics, pp15-16

