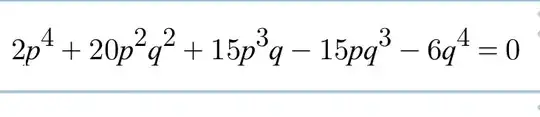
It's been driving me bonkers. As it's a contradiction proof I assume that there's a rational solution for the above equation. Then my prof told me to set the equation equals $0$, then sub in $p\over{q}$ for $x$, with $p$ in the set of integers and $q$ in the set of natural numbers, $ p ,q$ have no common factors, then factor everything by $q^4$, giving the equation [![enter image description here][2]][2]
Then I should use the fact that $2p^4 +6q^4$ isn't divisible by $5$, which means that those two terms will never subtract the other three terms in such a way that they all equal $0$, thus proving there's no rational solution.
I've checked it as a graph on Desmos and the proposition appears correct. However I'm at an utter lost for how to prove $2p^4 +6q^4$ isn't divisible by $5$ to proceed. I'm utterly lost and have scratched out so many failed attempts.
