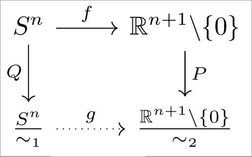
What every answer is missing is a sexy commutative diagram. Here goes:

Of course, the bottom right corner is $\mathbb R \text P^n := \mathbb R^{n+1}\backslash\{0\}/\sim_2$.
Key
- $f(x) = x$, the simplest map;
- $Q(x)$ is the quotient class of $x$ w.r.t. $\sim_1$, i.e. $Q(x) = \{y \in S^n : y \sim_1 x\}$;
- $P(x)$ is the quotient class of $x$ w.r.t. $\sim_2$; and most importantly,
- $g$ is the map defined on equivalence classes, $g(Q(x)) := P(x)$.
The focus is $g$: it is the map that we want to be well-defined and homeomorphic.
$P$, $Q$ are the quotient maps, whose properties need to be exploited. To make up names for these maps is something of a personal preference, for me it elucidates on the stages below.
This is quite a general treatment, I spell it out in the hope that it elucidates on further quotient-based examples, perhaps the principle of working from upstairs to downstairs.
Why $g$ is well defined
You may well be perplexed by the definition. Why does it make sense? Well, it makes sense provided whenever $Q(x) = Q(y),$ we have $f(P(x)) = f(P(y)).$ Unwrapping this, we want to show whenever $x,y \in S^n$,
$$x \sim_1 y \implies x \sim_2 y.$$
This is something you can happily verify.
Why $g$ is continuous
Firstly, $f$ is continuous. So is $P$, by the definition of the quotient topology (a.k.a. the topology induced by $P$):
$$U\text{ open in }\frac{\mathbb R^{n+1}\backslash\{0\}}{\sim_2} \iff P^{-1}(U) \text{ open in }\mathbb R^{n+1}. \tag{1}$$
(I.e., $P$ is not just continuous, but an open mapping [and the same applies to $Q$].)
So given open $U \in \mathbb R \text P^n$, $f^{-1}P^{-1}(U)$ is open in $S^n$. Now, the fact that $Q$ is an open map (look at $(1)$) means $Q(f^{-1}P^{-1}(U))$ is open. I.e., $g^{-1}(U) = Q(f^{-1}P^{-1}(U))$ is open.
Why $g$ is a bijection.
First, you need to check that $g$ is surjective: whenever you have a class $P(y)$ in $\mathbb R \text P ^{n}$, there is a point $x \in S^{n}$ such that $P(x) = P(y)$, i.e. $x\sim_2 y$. But you can just take $$x = \frac y {\|y\|_2}\phantom{\bigg|}.$$
As for injectivity, this is like the converse of well-definedness. $g$ is injective if, given $x,y$ in $S^n$, $$P(x) = P(y) \implies Q(x) = Q(y).$$
In other words:
$$ x \sim_2 y \implies x \sim_1 y.$$
But this is also pretty simple: $\|x\|_2 = \|y\|_2 = 1$, so if $x\sim_2 y$, i.e. $x = \lambda y$, where $\lambda \in \mathbb R\backslash \{0\}$, then taking norms tells you $|\lambda|=1$, i.e. $\lambda = \pm 1$, so $x \sim_1 y$.
(In my notation, we've shown $g(Q(x)) = g(Q(y)) \implies Q(x) = Q(y)$.)
So altogether, $g$ is bijective.
Why $g$ is a homeomorphism.
You have two options, both mentioned above:
- You can use the result mentioned a continuous bijection from a compact topological space to another is a homeomorphism.
$$S^n/\sim_1$$
is compact because it is the continuous image of the
compact space $S^n$;
The fact that $\mathbb R \text P ^n$ is Hausdorff is harder! Given $P(x)$, $P(y)$ with $\|x\|_2= \|y\|_2 = 1$, you can take $$0< \epsilon <\frac 1 2 \min\{\|x-y\|_2, \|x - (-y)\|_2\},$$ in which case for example you can take the double cones
$$ U_x = \left\{r z: r \in \mathbb R \backslash \{0\}, z \in S^n,\ \|z - x\|< \epsilon \right\},\text{ and}\\
U_y = \left\{r z: r \in \mathbb R \backslash \{0\}, z \in S^n,\ \|z - y\|< \epsilon \right\}.$$
And maybe with some sweat, you can show that $U_x$, $U_y$ are open, that they each are unions of $\sim_2$ classes, and that they don't intersect otherwise their normailised points on the sphere would intersect. That altogether means, they project down (via $P$) to open disjoint sets. Alternatively, you can pull out the general quotient-by-cocompact-group action kind of argument to show it's a metric space.
- You can do it directly (which I prefer after that Hausdorff argument).
We want to show that $g$ is an open mapping.
We need the fact that $\sim_1$ can be viewed as a restriction of $\sim_2$ to the sphere. Being needlessly rigourous, the following is true, since $f$ is an inclusion.
$$P \circ f = P|_{\text{im}(f)} \circ f = P|_{S^n} \circ \hat f = P|_{S^n}$$
where $\hat f:S^n \to S^n$ is $f$ with the range restricted to $S^n$: i.e. the identity map.
Now let $U$ be open in $S^n/\sim_1$. By the definition of quotient topology, $V := Q^{-1}(U)$ is open.
Now, $V \subset S^n$, but we need to enlarge it to an open set in $\mathbb R^{n+1}$: so define the cone:
$$V_2 = \{rv \;|\; r\in \mathbb R\backslash \{0\},\ v \in V\}$$.
This is an open set in $\mathbb R^{n+1}$, perhaps because the map $(x,r)↦ rx$ is a full-rank smooth map $S^n × \mathbb R \backslash \{0\}$, so is an open map; or maybe one can just do something with balls in $S^n$.
Crucially also, $P(V_2)= P(V)$; so we have
$$V_2\text{ open}\stackrel{(1)}\implies P(V_2)\text{ open}\implies P(V)\text{ open} \implies g(U)\text{ open},$$
since $g(U) = P \circ f(V) = P(V) = P(V_2)$ is open, we've showed its an open map, and earned our cup of tea.