8

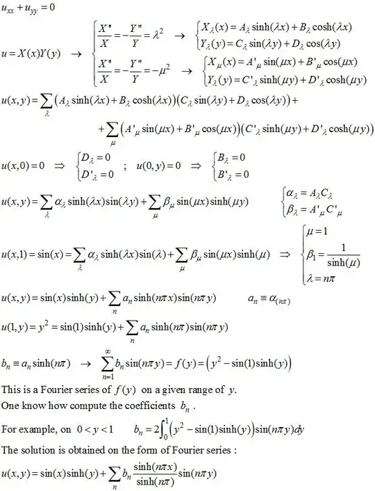
I tried to proceed as expected: set $u = X(x)Y(y)$, then you get $$\frac{X''}{X} = -\frac{Y''}{Y} = -\lambda$$. Assume $\lambda>0$, and $\lambda = z^2$ then you get $$X = C_1e^{-zx}+C_2e^{zx}$$, $$Y = C_3\cos(zy)+C_4\sin(zy)$$. So then we get the from the first two conditions $X(0) = C_1+C_2 = 0$, and $Y(0) = C_3 = 0$. Then we get $$X(x) = C_2\sinh(zx)C_4\sinh(z) = \sin(x)$$ and $$C_2\sinh(z)C_4\sin(zy) = y^2$$ from the second two conditions. I have no idea where to go from there.

J.J.
  • 83
  • 1
  • 6
  • How about the other two cases $\lambda < 0$ and $\lambda = 0.$ It looks like the latter will give you a solution that satisfies the boundary condition. – dezdichado Jul 19 '17 at 19:14
  • @dezdichado does that mean I can just ignore the $\lambda \neq 0$ cases? – J.J. Jul 19 '17 at 19:38
  • Not necessarily. You have to consider all cases, but it looks like $\lambda\neq 0$ cases will not have a solution. Assuming your proof above was correct, you need to do the same for the negative case. – dezdichado Jul 19 '17 at 20:45
  • @dezdichado But what I wrote above was not really a proof. – J.J. Jul 19 '17 at 20:56
  • it basically is proving that the positive case does not give a solution. The last equality you obtained is impossible, so the solution does not exist. – dezdichado Jul 19 '17 at 21:55
  • @dezdichado how could I prove that? – J.J. Jul 19 '17 at 23:52

1 Answers1

2

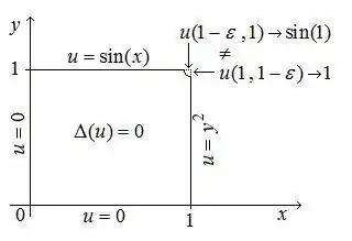
The boundary conditions at point $(1,1)$ introduce a singularity $$\begin{cases} u(x,1)=\sin(x) \quad\to\quad u(1,1)=\sin(1)\\ u(1,y)=y^2 \quad\to\quad u(1,1)=1 \end{cases}$$

enter image description here

This can be overcome with the solution in term of Fourier series:

enter image description here

JJacquelin
  • 68,401
  • 4
  • 40
  • 91