There is a method to find the square root of a number. It looks just like long division.
The method is based on the identity $(10a+b)^2=100a^2+(20a+b)b$.
I am not native in English and have some difficulties to describe the method clearly. Hope the pictures help.
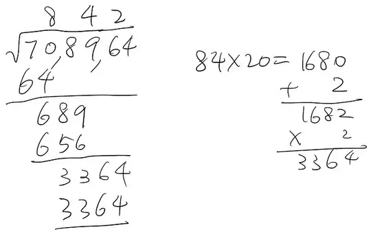
Take $708964$ as an example.
Step 1: divide the digits into groups of two, starting from the decimal point. (The leftmost group is $70$.)

Step 2: find the largest integer which is not larger than the square root of the first group. Subtract its square from the first group. Copy the second group right after the difference. (The first digit of the answer is $8$.)

Step 3: multiply the number on the top row by $20$. ($8\times 20=160$)

Step 4: the next digit of the answer is approximately equal to the quotient when the number in Step 2 divided by the number in Step 3. ($689\div160$ gives $4$). Add this to the number in Step 3. Then multiply the sum by this guess. ($(160+4)\times 4=656$) [Note: if this product is larger than the number in Step 2, reduce the guess by $1$ and do it again.

Step 5: write the number obtained in Step 4 right below the number in Step 2. Do the subtraction. Copy the third group after the difference. Write the guess of the second digit in Step 4 on the top row after the first digit. It is the second digit of the square root.

Step 6: Repeat the process starting from Step3, but replace the first digit by the two-digit number now on the top row. Work recursively until the remainder is $0$, or up to the desired number of significant figures.

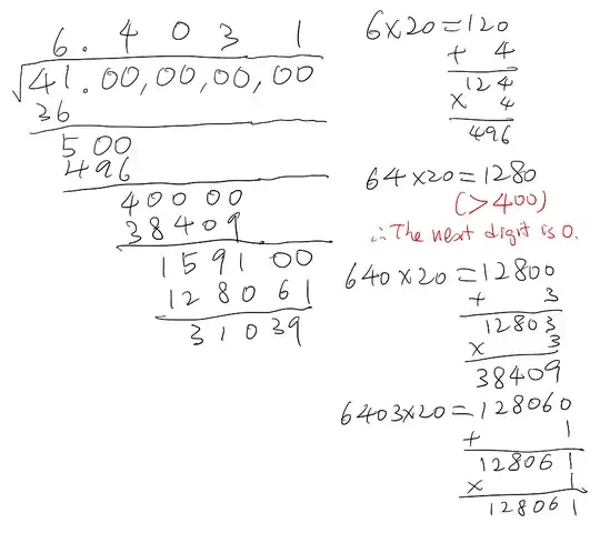
Below is how I compute the square root of $41$ up to $4$ digits after the decimal point.
