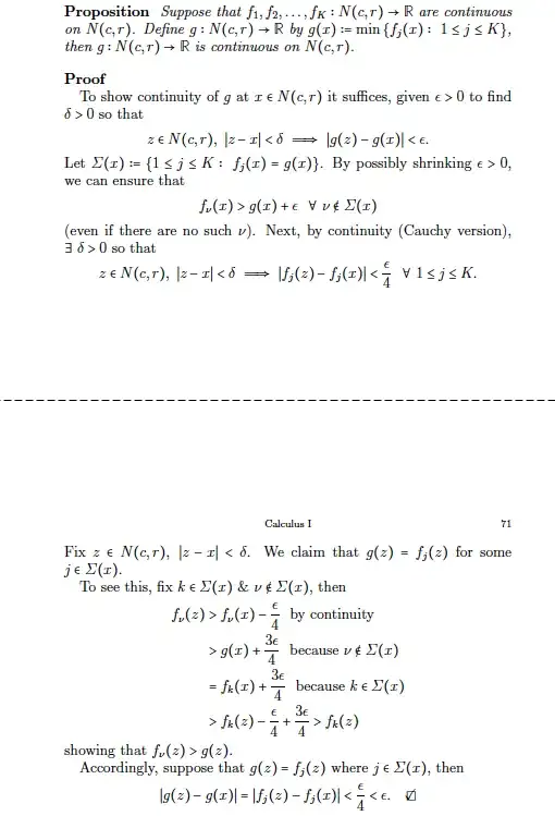
Here's a proposition I find hard to understand in my professor's notes. With N(c,r) he regards the r neighborhood of point c. I couldn't quite figure out what he defined by that sigma notation. If anyone could please clarify that'd be great.
From what I understand so far, he claims that if we have a set of functions continuous on a interval, then if we define a function g that for each x in the interval returns the minimal value for x in {f1(x), ... fk(x)}, that function would be continuous as well. Did I get it right?
