1

Please help me with this sum:

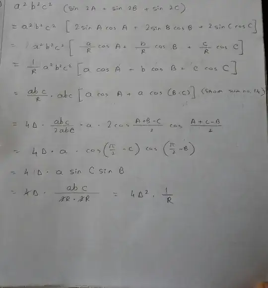
In any triangle ABC, prove that $$a^2 b^2 c^2 \left (\sin {2A} +\sin {2B} + \sin {2C} \right) = 32 \Delta ^3$$

Here $\Delta $ means the area of the triangle.

My attempts:

enter image description here

1 Answers1

0

Check that

  1. $\sin 2A + \sin 2B + \sin 2C = 4\sin A\sin B\sin C$
  2. $bc\sin A = 2\Delta$

So, $$LHS = 4(bc\sin A)(ca\sin B)(ab\sin C) = 32 \Delta^3.$$

GAVD
  • 7,436