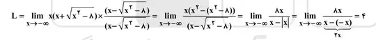
Consider we want to find $\lim_{x \to -\infty} x(x+\sqrt{x^2 - 8})$ . I know the answer is this:
But in the last step $\sqrt{x^2-8}$ has been changed to $\sqrt{x^2}$. I know we are dealing with infinity and $\infty - 8$ is also infinity but I'm looking for a proof which shows that change doesn't affect on the value of limit .
- 4,462
-
See https://math.stackexchange.com/questions/2214526/find-lim-x-to-infty-sqrtx29x3 – lab bhattacharjee Apr 14 '17 at 15:45
2 Answers
But in the last step $\sqrt{x^2-8}$ has been changed to $\sqrt{x^2}$. I know we are dealing with infinity and $\infty - 8$ is also infinity but I'm looking for a proof which shows that change doesn't affect on the value of limit.
One may write, as $x \to -\infty$, $$ \sqrt{x^2-8}=\sqrt{x^2\left(1-\frac8{x^2}\right)}=\sqrt{x^2}\cdot \sqrt{1-\frac8{x^2}} $$ and one may observe that $$ \sqrt{1-\frac8{x^2}} \to \sqrt{1}=1\quad \text{as} \quad x \to -\infty. $$
- 122,789
Useful inequalities for square roots are $\sqrt{1+x} \le 1+x/2 $ for $x \ge 0$ and $\sqrt{1-x} \le 1-x/2 $ for $0 \le x \le 1$.
To prove these, just square both sides.
To go the other way, we need bounds on $x$.
For example, if $\sqrt{1+x} \ge 1+cx$ (where $c < \frac12$ because of the result above), then, squaring, $1+x \ge 1+2cx+c^2x^2 $ or $x \ge 2cx+c^2x^2 $ or $1-2c \ge c^2x $ or $x \le \frac{1-2c}{c^2} $.
Similarly, if you want $\sqrt{1-x} \ge 1-cx$ (where $c > \frac12$ because of the result above), then, squaring, $1-x \ge 1-2cx+c^2x^2 $ or $-x \ge -2cx+c^2x^2 $ or $2c-1 \ge c^2x $ or $x \le \frac{2c-1}{c^2} $.
- 110,450