I'm working on figuring out how to count the number of distinct partitions in the number N - this set of values http://oeis.org/A000009.
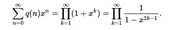
From wikipedia (and other sources), there is a generating function for this
What I'm struggling to understand is how I actually go from this function to calculating the number of partitions for some value N. I'll admit I'm not all that familiar with generating functions, but if someone could help me through an example of how we could use this (or if there's another way) to compute the number of distinct partitions where N = 5.