2

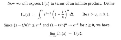
I am reading the section in Gamelin's "Complex Analysis" on the gamma function. This is on page 362:

gamma function

I do not understand how the inequality $\left(1 - \frac{t}{n}\right)^n \leq e^{-t}$ is derived.

james h
  • 882

1 Answers1

2

In THIS ANSWER, I showed using Bernoulli's Inequality only that $\left(1+\frac xn\right)^n$ monotonically increases for $x>-n$. Therefore, given the limit definition of the exponential function, we have

$$\left(1+\frac xn\right)^n\le e^{x}$$

for $x>-n$. Letting $x=-t$ yields

$$\left(1-\frac tn\right)^n\le e^{-t}$$

for $t<n$. And we are done!

Mark Viola
  • 184,670