If the exponent of $e$ of a bivariate normal density is
$$\frac{-1}{54} *(x^2+4y^2+2xy+2x+8y+4) \\\text{find } \sigma_{1},\sigma_{2} \text{ and } p \text{ given that } \mu_{1} =0 \text{ and } \mu_{2}=-1. $$
One must use this definition to solve.
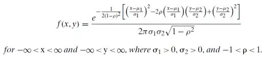
A pair of random variables $X$ and $Y$ have a bivariate normal distribution and they are referred to as jointly normally distribed random variables if and if their joint probability density is given by
If $X$ and $Y$ have a bivariate normal distribution normal distribution the conditional density of $Y$ given $X =x$ is a normal distribution with the mean
$\mu_{Y|x} = \mu_{2} + \rho \cdot \frac{\sigma_2}{\sigma_1}\cdot (x-\mu_{1})$
and the variance
$\sigma^{2}_{Y|x} = \sigma^{2}_{2}(1-\rho^2)$
and the conditonal density of $X$ given $Y=y$ is a normal distribution with the mean
$\mu_{X|y} = \mu_{1} + \rho\cdot \frac{\sigma_{1}}{\sigma_{2}}\cdot (y-\mu_{2})$
and the variance
$\sigma^{2}_{X|y} = \sigma^{2}_{1}(1-\rho^2)$
Does one re arrange the formula so that one can just plug in what $\mu_{1} \text{ and } \mu_{2}$ are? Does one substitute like this?
$$f(x,y) = \frac{-1}{54} *(x^2+4y^2+2xy+2x+8y+4) \\ = \frac{1}{-54} \left[ (x-\mu_{1})^2 +2(x-\mu_{1})(y-\mu_{2})+4(y-\mu_{2})^2 \right]$$
EDIT : Thanks to the valiant work of Anatoly I understand one needs to compare coefficients in order to derive $\rho,\sigma_{1},\sigma_{2}$
$$\color{lime}{(1)}: \frac{1}{2(1-p^2)\sigma^2_{1}} = \frac{1}{54}$$
However after this one I do not know what to do does anyone know how to do the rest?
