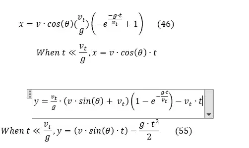
How can I simplify the top equation in the picture to the lower equation in the picture when the condition $t \ll \frac{v_t}g$ applies. I dont seem to understand the logic behind it :( Thank you for your help!
-
hmm... I think your picture is missing – Siong Thye Goh Oct 23 '16 at 01:46
-
@SiongThyeGoh I fixed the OP's formatting in order to show the image. – Noble Mushtak Oct 23 '16 at 01:47
-
@NobleMushtak thanks. – Siong Thye Goh Oct 23 '16 at 01:48
-
3The << just means if $t$ is much smaller than $\frac{v_t}{g}$. – user2825632 Oct 23 '16 at 01:49
-
1Where's the lower equation? – Raskolnikov Oct 23 '16 at 01:52
-
@Raskolnikov I'm pretty sure the OP is talking about the $x=v\cdot \cos(\theta) \cdot t$ equation. – Noble Mushtak Oct 23 '16 at 01:53
3 Answers
The $\ll$ symbol means $t$ is much smaller than $\frac{v_t}{g}$. To learn more about this, check out this Math.SE question.
- 18,869
-
-
@Noobcoder Now, I am still having trouble understanding their derivation. I think someone else on this site will likely be better at understanding this than me since I am not that good at physics. Sorry! – Noble Mushtak Oct 23 '16 at 13:46
I suppose that $t$ here is supposed to be positive. It seems that the "simplification" being made here is $$ e^{-g t/v_t}\approx 1- g t/v_t $$ Notably, this is a good approximation whenever $g t/v_t \ll 1$, which is to say that $t\ll v_t/g$.
- 234,171
- 12
- 184
- 355
The equation follows if you use a Taylor expansion to order 2:
$$ 1 - e^{\frac{-gt}{v_t}} \approx \frac{gt}{v_t} - \frac{1}{2} \frac{g^2t^2}{v^2_t} + O\Big(\Big( \frac{gt}{v_t}\Big)^3\Big) $$
You just have to slash off a remaining term
$$
-\frac{1}{2} \frac{g}{v_t} t^2 <<-\frac{1}{2}t << -\frac{1}{2} \frac{v_t}{g}. $$
Now, what does it all mean? This is just the ballistic problem in a low velocity, high drag setting:
You have, for vertical motion, the equilibrium condition for the force
$$ mg = kv_t \iff v_t = \frac {mg} {k} $$
Actually $\ \ v_{\infty} \ \ $ would be a better name.
Now, from the equations of motion
$$ m \ddot {x} = - k \dot {x}, \ \ \ \ \ \ \ \ \ \ \ \dot {x}(0) = v\cos(\theta) $$ $$ m \ddot {y} = k \dot {y} - mg, \ \ \ \ \dot {y}(0) = v\sin(\theta) $$
you get your solutions, which, for a short flight time $$ t << \frac{v_t}{g} $$ reduces to the familiar drag-less equations.
- 785
