1

In General Topology Chapters 1 - 4 by Bourbaki on p. 359 I have found the property

$\limsup_{x \to a} fg = \limsup_{x \to a}f \lim_{x \to a}g$

whenever both sides are defined and $f,g \geqslant 0$. However, I think this is still true, if only $g \geqslant 0$. Any hints for a proof?

TheGeekGreek
  • 8,158
  • You can probably find several posts with analogous result for sequences. For example, http://math.stackexchange.com/questions/510314/proof-that-limsup-a-nb-n-limsup-a-n-lim-b-n http://math.stackexchange.com/questions/776517/product-of-limitsuperior-of-bounded-sequences http://math.stackexchange.com/questions/1244661/if-lim-n-to-inftya-n-a-in-mathbbr-prove-that-limsup-n-to-infty – Martin Sleziak Sep 01 '16 at 01:47

1 Answers1

0

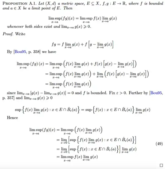
I have just formulated my solution to this problem.

enter image description here

TheGeekGreek
  • 8,158