0

I have found from a site this formula:

enter image description here

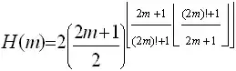
Ok.I have found that this formula is correct.see the reason below.

This part of formula is always $1$ or $zero$.

enter image description here

it's zero when $(2m)!+1$ isn't dividable to $2m+1$. And when it's zero this formula will give us the number 2.And it's 1 when (2m+1)! is dividable to 2m+1.Using Wilson's theorem if $(2m)!+1$ is dividable to $2m+1$ then $2m+1 $is prime.From these we can know that this formula always gives primes.But here is a big problem.This formula is very hard to use and it gives us many times the number $2$.My question is this is there a better formula for finding primes?

I have tried a lot of of formula.The best I have seen after this is mersenne's formula I don't liked this because it don't gives always a prime out.sometimes it generates not a prime number.I really believe that there is any formula that generates prime ordered because they are so much random but is there a formula that always gives out primes an it's easy to use?

Taha Akbari
  • 3,770

3 Answers3

2

The set of primes is recursively enumerable and can be generated by algorithms such as sieves and primality tests, e.g., the sieve of Eratosthenes, which uses trial division as a test. The definition of formula is very broad and only limited by the language it is expressed in. If $x=p_n$ is a well formed formula in a language that expresses the $n$'th prime then your question is trivially resolved. The more interesting question is whether a formula can be found for the primes which generates primes with the limitation of only using a particular set of operations. Some sets will permit a formula, others will not. For instance, if the only permissible operation is a nonconstant polynomial, there will be no such formula. Other answers have shown that expressions involving Mill's constant, exponentiation and the floor function can generate primes.

Formula for primes in terms of elementary arithmetic operations, $\lfloor x\rfloor$, sums and $\ln x$

Many algorithms can be rewritten algebraically in terms of the floor function, $\lfloor x \rfloor$, e.g., the aforementioned sieve of Eratosthenes. First, we may construct an indicator function for the primes. Define the modulo operator as $\operatorname{mod}(a,n)=a-n\left\lfloor \frac{a}{n}\right\rfloor$ and assume $x\in\mathbb{N_0},x\ge2$. Then, $\operatorname{mod}\left(x-1,i\right)$ is the remainder of the division of $(x-1)$ by $i$ and is $(i-1)$ iff $x$ is an integer multiple of $i$. This expression takes a value in $[0,i-1]$, therefore can be normalised to $\dfrac{\operatorname{mod}\left(x-1,i\right)}{i-1}$, which takes a value in $[0,1]$. The floor of this expression is then $0$ iff $i$ does not divide $x$. Therefore, $\textbf{1}_{i\, |\,x}=\left\lfloor \dfrac{\operatorname{mod}\left(x-1,i\right)}{i-1}\right\rfloor$ is the indicator function of whether $i\,|\,x$. When this expression is summed over $i=2,3,\ldots,\lfloor \sqrt{x}\rfloor$, it counts the number of divisors of $x$ between $2$ and $\sqrt{x}$. This is trial division and the largest integer that needs to be tested is $\sqrt{x}$. Thus, $\displaystyle \sum_{i=2}^{\left\lfloor\sqrt{x}\right\rfloor}\textbf{1}_{i\, |\,x}$ is $0$ iff $x$ has no divisors other than itself and $1$ and is in $(0,\left\lfloor\sqrt{x}\right\rfloor)$ otherwise. Similar to before, this can be normalised to $[0,1)$, subtracted from $1$, and its floor taken again to assign $0$ and nonzero values to either $0$ or $1$. Thus,

$$\left\lfloor 1-\frac{1}{\left\lfloor\sqrt{x}\right\rfloor}\sum_{i=2}^{\left\lfloor\sqrt{x}\right\rfloor}\textbf{1}_{i\, |\,x}\right\rfloor=\textbf{1}_{x\in\mathbb{P}}$$

is the indicator of whether $x$ is in the set of primes, $\mathbb{P}$. If $x\mapsto k$ and this indicator is summed over $k=2,3,\ldots,x$, it is then the prime counting function, $\displaystyle \pi (x)=\sum_{k=2}^x\textbf{1}_{k\in\mathbb{P}}$. The function $\left\lfloor\dfrac{2y}{x+y+1}\right\rfloor$ is the indicator of whether $0\le x<y$, for $x\in[0,\infty)$. Thus, $\left\lfloor\dfrac{2x}{\pi\left(r\right)+x+1}\right\rfloor$ indicates whether $\pi (r)$, the number of primes less than or equal to $r$, is strictly less than $x$. If this is summed from $r=2$ to $\infty$, it counts (up to a constant difference) how many $r$ have a prime count less than $x$. In other words, it represents the number at which the prime counting function is incremented. Therefore, the $x$'th prime is equal to $\displaystyle p_x=2+\sum_{r=2}^{\infty}\left\lfloor\frac{2x}{\pi\left(r\right)+x+1}\right\rfloor$. The upper limit of the sum can be brought down to a finite value, as $\pi(x)<2\left(\left\lfloor x\ln x\right\rfloor+1\right)$, so for all $r\ge 2\left(\left\lfloor x\ln x\right\rfloor+1\right)$, the terms in the sum are $0$.

Therefore, after putting this all together, we have a formula for all primes.

$$ p_x= \small{2+\sum_{r=2}^{2\left\lfloor x\ln x\right\rfloor+2}\left\lfloor 2x\left(\sum_{k=2}^{r}\left\lfloor 1-\frac{1}{\left\lfloor \sqrt{k}\right\rfloor}\sum_{i=2}^{\left\lfloor\sqrt{k}\right\rfloor}\left\lfloor\frac{k-1-i\left\lfloor({k-1})/{i}\right\rfloor}{i-1}\right\rfloor\right\rfloor+x+1\right)^{-1}\right\rfloor}$$

Of course, this formula provides no real advantages over any algorithm implementing the sieve of Eratosthenes. A Desmos graph with each individual formula is available (here), while a graph with all formulas combined together is available (here) but bear in mind that it takes some time to compute. This method is partially adapted from On Formula to Compute Primes by Kaddoura and Abdul-Nabi.

Jam
  • 10,632
  • 3
  • 29
  • 45
1

A one I like (it's realted to the truth of the Riemann hypothesis, but the powers are getting realy big):

Mills' theorem states that there exists a real constant A such that $\left\lfloor\text{A}^{3^n}\right\rfloor$ is prime for all positive integers $n$ (Mills 1947). While for each value of $c\ge2.106$, there are uncountably many possible values of A such that $\left\lfloor\text{A}^{c^n}\right\rfloor$ is prime for all positive integers $n$ (Caldwell and Cheng 2005), it is possible to define Mills' constant as the least theta such that

$$\text{f}_n=\left\lfloor\theta^{3^n}\right\rfloor$$

Is prime for all positive integers n, giving a value of

$$\theta=1.306377883863080690... $$

Jan Eerland
  • 29,457
1

There is no "nice" formula that is always going to generate primes. Mills' theorem (as Jan Eerland noted) is one that does give primes, but even that relies on the floor function, a constant based on a (technically unproven, but likely true) conjecture, and repeated exponentiation.

A famous polynomial (originally found by Euler) that generates primes is $n^2+n+41$, which results in a prime value for all positive integers $n<41$. There are similar examples that generate primes up to a certain value, but even these do not always generate primes.

It is unlikely that a true, prime-generating formula will ever be found (in the sense that it generates every single prime), although it is a fun thought.

Ethan Hunt
  • 1,053
  • 1
    "It is unlikely that a true, prime-generating formula will ever be found (in the sense that it generates every single prime)" - this is incorrect. See my answer. – Jam Feb 01 '20 at 16:55
  • "which results in a prime value for all positive integers $n<41$", actually it is composite for $n=40$ already. – Sil Jun 30 '20 at 20:01