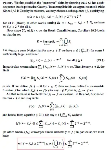
The theorem is from Real Analysis (Carothers). Let $\{f_n\}$ be a sequence of real valued measurable functions, all defined on a common measurable domain $D$. If $\{f_n\}$ is Cauchy in measure, then there is a measurable function $f:D\rightarrow \mathbb{R}$, such that $\{f_n\}$ converges in measure to $f$. Moreover, there is a subsequence $\{f_{n_{k}}\}$ that converges pointwise a.e. to $f$. And the proof is shown in the picture
Can someone explain the last line to me? The stuff in the red box. I don't quite understand how they get that inequality.
