I'm looking at the algorithm for Williamson normal form for symplectic diagonalization of positive-definite symmetric real matrices, given on pp.24 here: https://www.ime.usp.br/~piccione/Downloads/LecturesIME.pdf
The theorem says that, for every positive-definite symmetric real matrix $M$ on the standard symplectic vector space $(\mathbb R^{2n},J)$, there exists a Darboux basis in which this matrix may take a diagonal form. Here are the beginning paragraphs of the proof:
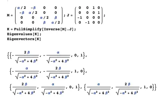
I am particularly confused by the very last line: why is the basis $\{e_i',f_j'\}$ orthonormal with respect to $\langle\cdot,\cdot \rangle_M$? I verified that this is in fact not true in a simple $4\times 4$ example (we assume that $\alpha>2\beta$ for positive-definiteness):


