$y''-2\sin y'+3y=\cos x$
I'm trying to solve it by power series, but I just can't find the way to get $\sin y'$. Is there any special way to find it?
$y''-2\sin y'+3y=\cos x$
I'm trying to solve it by power series, but I just can't find the way to get $\sin y'$. Is there any special way to find it?
I think you are unlikely to find the power series in closed form, and that even if you did, the next logical step would be to discard all but finitely many terms of the series. So it makes sense to look for a Taylor polynomial of fixed degree from the beginning. For example, if we are okay with 4th order approximation $y=a_0+a_1x+a_2x^2+a_3x^3+a_4x^4 +O(x^5)$, then the linearization $\sin y'=y'+O(x^3)$ is acceptable. It gives the system $$2 a_2 - 2 a_1 + 3 a_0 = 1$$ $$6 a_3 - 4 a_2 + 3 a_1 = 0$$ $$12 a_4 - 6 a_3 + 3 a_2 = -1$$ which is easy to solve especially if given initial conditions for $a_0,a_1$.
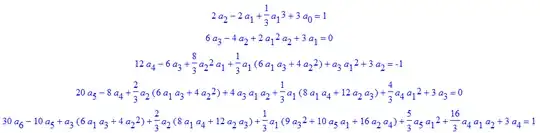
If linearization is too crude for your purpose, then consider the approximation $y=a_0+a_1x+a_2x^2+a_3x^3+a_4x^4 +a_5x^5+a_6x^6+O(x^7)$, which requires $\sin y'=y'-(y')^3/6+O(x^5)$ in the equation. The resulting system is nonlinear, but it's just as easy to solve as the previous one, if you begin with known initial conditions $a_0,a_1$. Indeed, the first equation gives $a_2$, the second $a_3$, and so on. Here is how the system looks in Maple:

I wonder if there is a name for such systems (it would be triangular if linear).
Maple finds the two fundamental solutions:
(with $y(0)=0$ and $y'(0)=b$) $$\eqalign{ y \left( x \right) &=bx+ \left( \sin \left( b \right) +{\frac {1}{2}} \right) {x}^{2}+ \left( \frac23\,\cos \left( b \right) \sin \left( b \right) +\frac13\,\cos \left( b \right) -\frac12\,b \right) {x}^{3}\cr+& \left( \frac2 3\, \left( \cos \left( b \right) \right) ^{2}\sin \left( b \right) - \frac23\,\sin \left( b \right) -{\frac {1}{2}}-\frac14\,\cos \left( b \right) b+\frac12\, \left( \cos \left( b \right) \right) ^{2} \right) {x}^{4}\cr+& \left( \frac45\, \left( \cos \left( b \right) \right) ^{3}\sin \left( b \right) -{\frac {11}{10}}\,\cos \left( b \right) \sin \left( b \right) +{\frac {3}{20}}\,\sin \left( b \right) b-{\frac {13}{15}}\, \cos \left( b \right)\right. \cr& \left.+\frac38\,b-\frac25\, \left( \cos \left( b \right) \right) ^{2}b+\frac45\, \left( \cos \left( b \right) \right) ^{3} \right) {x}^{5}\cr +&O \left( {x}^{6} \right) \cr} $$
and (with $y(0)=a$ and $y'(0)=0$)
$$y \left( x \right) =a+ \left( -\frac32\,a+{\frac {1}{2}} \right) {x}^{2}+ \left( -a+{\frac {1}{3}} \right) {x}^{3}-\frac18\,a{x}^{4}+ \left( \frac14\,a -{\frac {1}{15}}+{\frac {9}{20}}\,{a}^{3}-{\frac {9}{20}}\,{a}^{2} \right) {x}^{5}+O \left( {x}^{6} \right) $$
Arbitrarily many terms of the series can be found (but they get complicated).