$(\bot E)$ is
$\bot\vdash\psi$.
RAA(Reductio Ad Absurdum) says
If $\{\Gamma,\neg\psi\}\vdash\bot$, then $\{\Gamma\}\vdash\psi$.
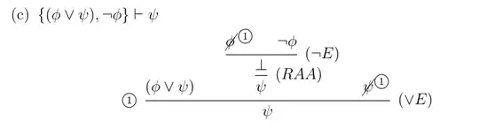
Yet, one of the solutions to my textbook exercises uses $(\bot E)$ and labels it (RAA) in its natural deduction proof as in the picture below. Is it a mistake?
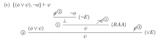
Update 1 : Is the picture below a correct usage of RAA in a natural deduction proof?

