Job Bouwman's answer in terms of convolutions can be framed nicely in terms of probability.
In that answer, $\mathop{\rm sinc}(t) = \frac{\sin(t)}{t}$ plays the role of the Fourier transform of the indicator function of an interval. This indicator function can be interpreted as the probability density function of a uniformly distributed random variable. Then its Fourier transform is the characteristic function of that random variable. Convolution of probability density functions corresponds to addition of independent random variables, which in turn corresponds to multiplication of their characteristic functions.
Specifically, let $X_0, X_1, X_2, \dots$ be independent and uniformly distributed in $[-1,1]$. As in Job Bouwman's answer, we care about the value at $x=0$ of the convolution of the density functions of $X_0$, $X_1/3$, $X_2/5$, and so on. So we're interested in the value at $x=0$ of the probability density function of
$$X_0 + \frac13 X_1 + \frac15 X_2 + \dots + \frac1{2N+1} X_N.$$
That is, how likely is that sum to land in a small interval centered at $0$, compared to the size of that small interval? Up to a factor of 2, this is the same as asking how likely the sum
$$Y = \frac13 X_1 + \frac15 X_2 + \dots + \frac1{2N+1} X_N$$
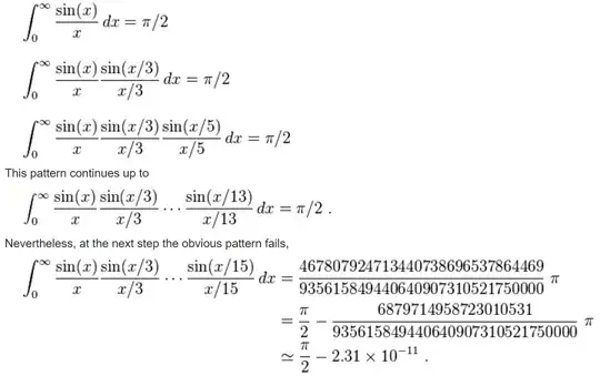
is to land in the interval $[-1, 1].$ Since each $X_i$ has absolute value at most $1$, this happens with probability $1$ when $N<7$, but with probability slightly less than $1$ when $N \geq 7$.
Explicitly, let $f$ denote the probability density function of $Y$ and $\varphi$ denote the characteristic function of $Y$. We have
\begin{align*}
\mathop{\mathbb P}(Y \in [-1,1])
&=
\int_{-1}^1 f(x)\,dx\\
&=
\int_{\mathbb R} \chi_{[-1,1]}(x)\, f(x)\,dx\\
&=
\frac1{2\pi} \int_{\mathbb R} 2 \mathop{\rm sinc}(t)\, \varphi(t)\,dt,
\end{align*}
where the last equality is due to the fact that Fourier transforms preserve the inner product between functions, up to a factor of $2\pi$.
We also have
$$\varphi(t) = \mathop{\mathbb E}(e^{itY})
= \prod_{k=1}^N \mathop{\mathbb E}(e^{i\,t/(2k+1)\,X_k})
= \prod_{k=1}^N \mathop{\rm sinc}\left(\frac{t}{2k+1}\right).$$
Hence
\begin{align*}
\mathop{\mathbb P}(Y \in [-1,1])
&=
\frac1{2\pi} \int_{\mathbb R} 2 \mathop{\rm sinc}(t)\, \prod_{k=1}^N \mathop{\rm sinc}\left(\frac{t}{2k+1}\right)\,dt\\
&=
\frac2{\pi} \int_0^\infty \prod_{k=0}^N \mathop{\rm sinc}\left(\frac{t}{2k+1}\right)\,dt\\
&=
\frac2{\pi} B_N,
\end{align*}
where $B_N$ is the integral we're interested in. So $B_N = \pi/2$ when $N<7$ and $B_n$ is just a little bit less than $\pi/2$ when $N \geq 7$. Note that even if you take $N$ to infinity, the probability that
$$Y = \frac13 X_1 + \frac15 X_2 + \frac17 X_3 + \dots$$
is outside $[-1, 1]$ is still quite small, and
$$B_\infty
= \int_0^\infty \prod_{k=0}^\infty \mathop{\rm sinc}\left(\frac{t}{2k+1}\right)\,dt
= \int_0^\infty \prod_{j=1}^\infty \cos\left(\frac{t/2}{j}\right)\,dt
= 2\int_0^\infty \prod_{j=1}^\infty \cos\left(\frac{u}{j}\right)\,du
$$
is still quite close to $\pi/2$, correct to four digits I believe.
You can observe an even more striking version of this behavior by evaluating the probability density function of
$$X_0 + \frac13 X_1 + \frac15 X_2 + \dots + \frac1{2N+1} X_N$$
at $x = 1$ rather than $x = 0$. Up to a factor of $2$, this is the probability that
$$Y = \frac13 X_1 + \frac15 X_2 + \dots + \frac1{2N+1} X_N$$
lands in the interval $[0,2]$. By symmetry around the origin, when $N < 56$, this probability is exactly $1/2$, but when $N \geq 56$, it is very slightly smaller than $1/2$. Translating this into facts about integrals, we get that
$$C_N = \frac12 \int_{\mathbb R} e^{it} \prod_{k=0}^N \mathop{\rm sinc}\left(\frac{t}{2k+1}\right)\,dt = \int_0^\infty \cos(t)\, \prod_{k=0}^N \mathop{\rm sinc}\left(\frac{t}{2k+1}\right)\,dt$$
is exactly $\pi/4$ when $N < 56$ and very slightly smaller when $N \geq 56$.
And because the probability that
$$\frac13 X_1 + \frac15 X_2 + \frac17 X_3 + \dots$$
falls outside $[-2, 2]$ is miniscule but nonzero, we have that
$$C_\infty
= \int_0^\infty \cos(t)\,\prod_{k=0}^\infty \mathop{\rm sinc}\left(\frac{t}{2k+1}\right)\,dt
= 2\int_0^\infty \cos(2u) \prod_{j=1}^\infty \cos\left(\frac{u}{j}\right)\,du
$$
is incredibly close to $\pi/4$, correct to more than forty digits!
As for the original question of calculating $B_7$ exactly, it boils down to calculating the exact probability $p$ that
$$\frac13 X_1 + \frac15 X_2 + \frac17 X_3 + \frac19 X_4 + \frac1{11} X_5 + \frac1{13} X_6 + \frac1{15} X_7 > 1.$$
Up to a factor of $2^7$, this is the volume of a tetrahedral section of the 7-dimensional cube $[-1, 1]^7$, sliced off by the plane $x_1 / 3 + \dots + x_7/15 = 1$. This tetrahedron has orthogonal sides of length $3s, 5s, \dots, 15s$, where
$$s =
\left(\frac13 + \frac15 + \dots + \frac1{15}\right) - 1 = \frac{44190}{15!!}.$$ Hence,
$$p = \frac{1}{2^7} \frac{1}{7!} 3s \dots 15s = \frac{15!! s^7}{2^7 7!} = \frac{44190^7}{2^7 7! (15!!)^6}$$
and
$$B_7 = \frac\pi2 (1-2p) = \frac\pi2\left(1 - \frac{44190^7}{2^6 7! (15!!)^6} \right).$$