I've been having trouble finding the general solution of $v$ for $v'-\frac{1}{v}=x$. I've attempted various substitutions in attempts of obtaining separation of variables or recognizable form to apply the method of the integrating factor. A couple of substitutions I've attempted: $$\alpha=\frac{1}{v}$$ $$\beta=\frac{1}{\alpha^2}$$ I tried others but threw out the scratch paper (yeah...would've helped now to see the other substitutions that didn't work so I don't reattempt them...). Does anyone have an idea of how to get this DE into a form we can play with? Please don't supply the final to the DE. I'm simply looking for direction down the proper path.
Asked
Active
Viewed 197 times
4
-
3Are you sure that this is the ODE to solve ? If it is, it looks like a monster (at least to me). – Claude Leibovici Feb 27 '16 at 08:11
-
What you probably want is: Abel differential equation of the second kind, with g(x) = 1, and f(x) = x. http://eqworld.ipmnet.ru/en/solutions/ode/ode0125.pdf – Paichu Feb 27 '16 at 08:42
-
@Claude Leibovici: Anyway, this still be a very lucky case of Abel equation of the second kind. – doraemonpaul Mar 05 '16 at 15:20
-
Sorry for such a late response. That was indeed the ODE and the Airy equation was indeed the method to solve it... -_- – user146925 Mar 20 '16 at 01:21
2 Answers
6
Making the change of independent function $v=f+\frac{x^2}{2}$, we get $$f'_x=\frac{1}{f+\frac{x^2}{2}}$$ Next interpret this as an equation for $x$ as a function of $f$: $$x'_f=\frac{x^2}{2}+f.$$ This is a Riccati equation solvable in terms of Airy functions: indeed, setting $x(f)=-2y'/y$, we get Airy equation $2y''+f y=0$ for $y$.
Start wearing purple
- 54,260
-
Thank you!!! This helped out tremendously. I apologize for taking so long to thank you and mark this as the correct answer. – user146925 Mar 20 '16 at 01:22
4
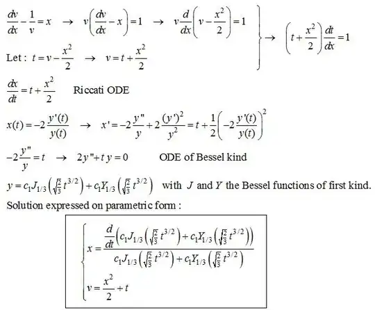
A change of function leads to an Riccati ODE. The usual method of solving leads to an ODE of Bessel kind. Finally the general solution is expressed on parametric form :
While I was typing my answer, "Start wearing purple" posted his answer which is based on the same method.
JJacquelin
- 68,401
- 4
- 40
- 91
