2

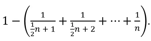
How would you find the limit of this function:

picture

The n value is always even (this is for a problem and it would not make sense for n to be an odd number)

Also, how could I plot this with n as the x value? I've tried to do it with an excel spreadsheet, but I just can't find the way to do it. I've done the first 10 even values for n (2,4,6,8,10,12,14,16,18,20) and the graph looks like it is approaching 0.3, but is there a way to know for sure?

Marco
  • 21

0 Answers0