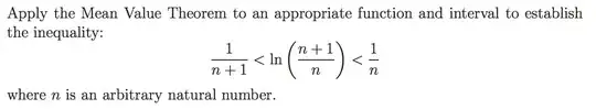
So I think the interval for this question is (n,n+1) and the function is y=lnx, based what the inequality looks like, but I don't know how to approach this question the "proper" way. Also I am not sure what the (n+1)/n does. so if someone can explain it I would be very happy.
Thanks
