My group theory text asks for an example of a Cayley-like diagram that exhibits all the properties of a group except (only) that at least some elements lack an inverse. Is it possible to construct such a diagram?
Nathan Carter p. 24 Question 2.15. in Visual Group Theory (in the context of this question) defines a group as a "collection of actions" that satisfies four rules:
- There is a predefined list of actions [generators] that never changes.
- Every action is reversible.
- Every action is deterministic.
- Any sequence of consecutive actions is also an action.
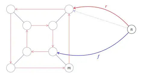
Clearly (2) will be violated in any diagram that is constructed by adding new node, $n$, to the diagram for a group $G$ by one-way arrows for each of the generators in $G$, since it provides no way to reach $n$ from any other nodes, so that paths starting at $n$ (only) cannot be reversed. This will be the case regardless of what nodes in $G$ each of the arrows from $n$ lead to. For example, starting with $G=D_4$:

But, while this diagram satisfies rules (1) and (4), doesn't it also violate (3) because, for example, $r^4=e$ and (starting from $n$) $r^4=r^{-1}$ even though $r^{-1}\neq e$?
EDIT: As discussed below, this figure does not, in fact, violate (3): the $r^{-1}$ mentioned above (the one starting at $n$) does not exist. Also, it does matter where the arrows from $n$ are connected: they must be connected to $G$ in a way that follows $G$'s rules. In the diagram above, for example, if the dotted path had been chosen for $f$ instead of the one indicated, the diagram would violate (3). Rule (3) will always be satisfied in a diagram where the connections from the added node replicate outgoing connections from a node in $G$ (here $m$).
The answer provided in the book's key focuses on the fact that (2) requires that any diagram
...cannot have two arrows of the same type pointing to the same destination from two different sources.
However, while this is certainly a property of (all?) diagrams (including the one above) that violate (2), it is not sufficient to violate (2), and can result in the violation of other rules instead. For example simply "rewiring" one of the cyclic actions in $D_4$ so that it points "to the same destination from two different sources" can produce a diagram that satisfies, (2) but violates (3):

The example offered in the key, violates not only (2), but (3) and (4) as well:

Is it possible to construct a diagram that satisfies rules (1), (3), and (4) while violating (2)?


