1

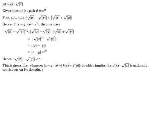
prove the function f(x)= Seq(Abs(x)) is uniformly continuous on its domain prove the function f(x)= Seq(Abs(x)) is uniformly continuous on its domain would someone please check my work. Thank you in advance .

Smith Pay
  • 183
  • 7

1 Answers1

2

Inside $[-1,1]$, it is u.c., since it's continuous on a compact set; outside, $f'(x)$ is bounded, so it is also u.c.

TorsionSquid
  • 3,600