______________________________________________________________
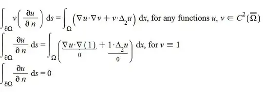
Conversely, in a different approach using Green's 1st identity, I showed that by choosing v ≡ 1, that the compatibility condition is derived, and so if u is harmonic on Ω, then the integral of the normal derivative over the boundary is equal to zero.
______________________________________________________________
However, for circles/balls lying within the closure of the domain (i.e. intersection with the boundary), do I need to use the mean value principle with Green's theorem to prove that u is a harmonic function in Ω?
