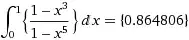
Find the limit of the following series:
$$ 1 - \frac{1}{4} + \frac{1}{6} - \frac{1}{9} + \frac{1}{11} - \frac{1}{14} + \cdot \cdot \cdot $$
If i go the integration way all is fine for a while but then things become pretty ugly. I'm trying to find out if there is some easier way to follow.



